@user_4794351

Estudios: Bachillerato

27 Publicaciones

75 Interacciones

1 Seguidores

0 Siguiendo

Lista de publicaciones de user_4794351

Stuart Mill y D.Hume resumido puntos más importantes para selectividad/PAU

4 páginas

Tema 6 de funcionamiento de la empresa, 2 bachillerato. Preparado para estudiar las PAU

4 páginas

Funcionamiento de la empresa 2do bachillerato. Preparación para las PAU/selectividad

4 páginas

Comentario de texto de la vida es un sueño. Base del comentario preparado para las PAU

1 página

Funcionamiento de la empresa tema 10 y 11. Preparación de la selectividad.

5 páginas

tema 12. preparación para estudiar las PAU

2 páginas

Geografia tema 6, preparado para estudiar las PAU

5 páginas

Geografía tema 5 2do Bachillerato. Preparado para estudiar las PAU

5 páginas

RESUMEN GEOGRAFIÍA TEMA 3. PREPARADO PARA ESTUDIAR LAS PAU

5 páginas

RESUMEN ESPECÍFICO DE GEOGRAFÍA 2DO BACHILLERATO.

5 páginas

RESUMEN DEL LA ANTOLOGIA BARROCA. - CONTEXTO HISTÓRICO - PRINCIPALES CORRIENTES DE LA POESÍA BARROCA - RASGOS COMUNES DEL BARROCO POÉTICO - OTRAS CORRIENTES POÉTICAS

2 páginas

Resum tractant els temes de primo de rivera (tot) i la II República Espanyola.

4 páginas

1 trimestre: temas tratados: 1. Els sofistes i Protàgores 2. Sòcrates 3. Presocratics 4. Pitagores 5. Heraclit i Permanides 6. Plató 7. Teoria del coneixement 8. Teoria antropologica 9. Teoria ética 10. Teoria política

4 páginas

tema: La inversió en l'empresa, Mètodes per seleccionar la millora inversió, l'estructura financera de l'empresa, fonts de finançament pròpies, foonts de finançament alienes, els cicles de l'empresa

3 páginas

Tema: La diversitat territorial i els paisatges. Punts importants com: - El relleu, el clima i la vegetació de Catalunya - El relleu, el clima i la vegetació d'espanya - La gestió del patrimoni natural - El paisatge i la seva diversitat

6 páginas

ESQUEMA RESUMIDO.

1 página

Resumen del catalanisme politic

word

Resumen global de temas principales que normalmente entran en el primer global (1r trimestre)

word

Alfonso XIII, RESUMIDO.

word

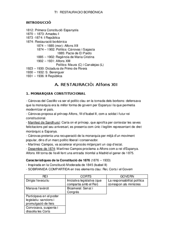
Resumen de Alfons XII y la Ira restauració.

word