@user_4883110

72 Publicaciones

1.04k Interacciones

4 Seguidores

0 Siguiendo

Lista de publicaciones de user_4883110

apuntes

-

Apuntes DAE

Apuntes de todos los temas de Dirección y Administración de empresas

DAE-tema-8-Grupos-de-trabajo.pdf
DAE-tema-7-Liderazgo.pdf
DAE-tema-6-Motivacion.pdf
DAE-temas-1-y-2.pdf

apuntes

-

Apuntes Dirección Comercial todos los temas

He publicado nuevos apuntes de 2º Dirección Comercial: Apuntes Dirección Comercial todos los temas

DC-Temas-1-y-2.pdf
DC-Tema-3.pdf

apuntes

-

Apuntes Contabilidad Financiera I

Apuntes del libro completados con diapositivas de clase.

CF1-Tema-1.pdf
CF1-Tema-2.pdf
CF1-Tema-3.pdf

He publicado nuevos apuntes de 1º Historia del Desarrollo Económico Mundial Contemporáneo: Todos los apuntes de Historia en inglés.pdf

55 páginas

He publicado nuevos apuntes de 1º Introducción al Derecho: Derecho-Mercantil-5-7.pdf

36 páginas

Casos prácticos temas 3-6 Derecho Mercantil corregidos

4 páginas

Apuntes temas 3 y 4

17 páginas

examenes

-

Exámenes Teoría Contabilidad General

Test de todos los temas de teoría

Examen-Teoria-2.pdf

He publicado nuevos apuntes de 1º Introducción al Derecho: Derecho-mercantil-1-4.pdf

35 páginas

ejercicios

-

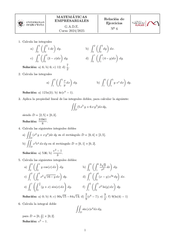
Relaciones de ejercicios con soluciones (1-6) - Matemáticas Empresariales

He publicado nuevos ejercicios de 1º Matemáticas Empresariales: Relaciones de ejercicios con soluciones (1-6) - Matemáticas Empresariales

RELACION-DE-EJERCICIOS-No-1.pdf
RELACION-DE-EJERCICIOS-No-2.pdf
RELACION-DE-EJERCICIOS-No-3.pdf
RELACION-DE-EJERCICIOS-N.-4.pdf
RELACION-DE-EJERCICIOS-No-5.pdf
RELACION-DE-EJERCICIOS-No6.pdf

Práctica de los temas 1 y 2 de Derecho Mercantil corregida

5 páginas

Apuntes completos para estudiar los temas 1 y 2

18 páginas

test

-

MOOC La Alhambra y la Granada Andalusí Cuestionario módulo 1 AbiertaUGR

5a Edición

MOOC-La-Alhambra-y-la-Granada-Andalusi-Cuestionario-modulo-1-AbiertaUGR.pdf
Cuestionario-modulo-2.pdf
Cuestionario-modulo-3.pdf
Cuestionario-modulo-4--AbiertaUGR.pdf
Cuestionario-modulo-5--AbiertaUGR.pdf
Cuestionario-modulo-6--AbiertaUGR.pdf

Apuntes completos de todos los temas de derecho del trabajo (1-6)

41 páginas

test

-

TEST Auto-evaluación MICRO

He publicado nuevos test de 1º Microeconomía: TEST Auto-evaluación MICRO

MICRO-Auto-evaluacion-Capitulos-1-2.pdf

apuntes

-

MICROECONOMÍA APUNTES

Basados en el libro teórico y sus clases

MICRO-TEORIA-1-2.pdf

apuntes

-

TEMAS IOF (1-6)

Apuntes completos basados en el libro con ejercicios resueltos y fórmulas.

IOF-TEMA-6.pdf
IOF-TEMA-5.pdf
IOF-TEMA-4.pdf
IOF-TEMA-3.pdf
IOF-TEMA-2.pdf
IOF-TEMA-1.pdf