@user_4943324

Estudios: Grado en Ingeniería Mecánica (UPCT) ...Mostrar más

9 Publicaciones

102 Interacciones

1 Seguidores

0 Siguiendo

Lista de publicaciones de user_4943324

He publicado nuevos apuntes de 2º INGENIERÍA DE LOS SISTEMAS DE PRODUCCIÓN: problemas-resuelto-mecanizado.pdf

3 páginas

He publicado nuevos practicas de 1º Fundamentos de fabricación: todas-practicas.pdf

18 páginas

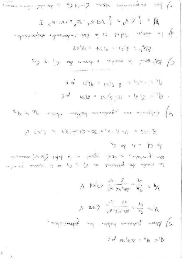
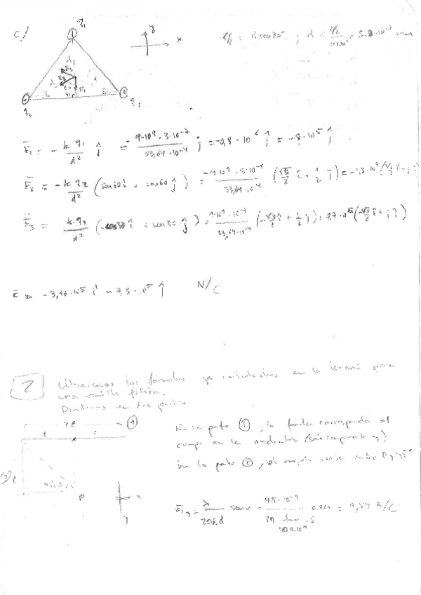
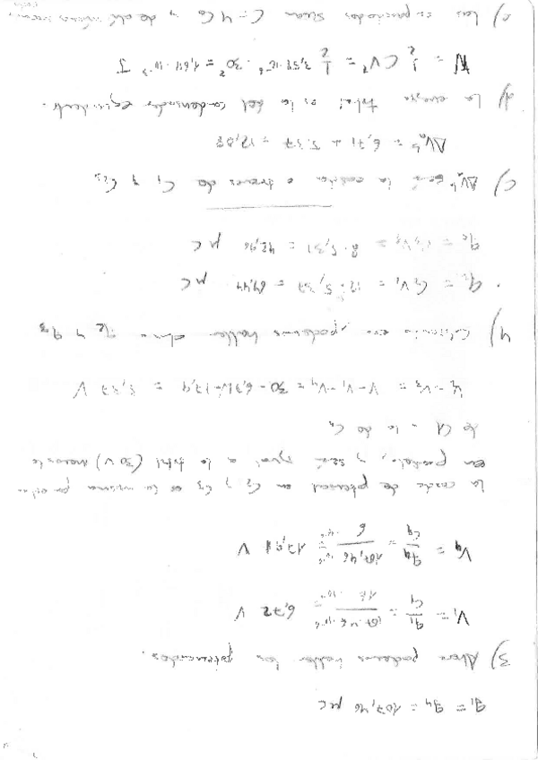
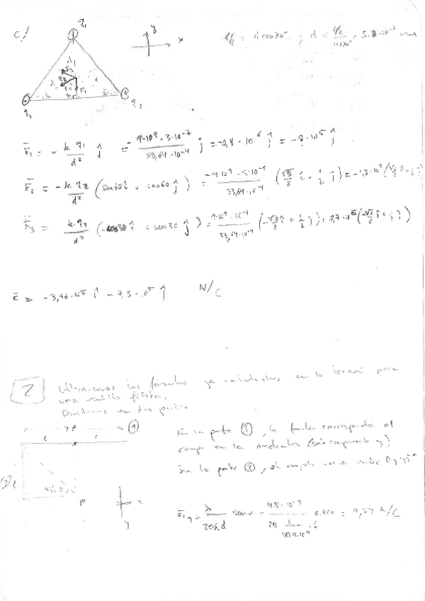
He publicado nuevos ejercicios de 1º Física II: tema-5.pdf

14 páginas

He publicado nuevos apuntes de 1º Física II: tema-6.pdf

10 páginas

He publicado nuevos ejercicios de 1º Física II: tema-4.pdf

20 páginas

He publicado nuevos ejercicios de 1º Física II: tema-3.pdf

14 páginas

He publicado nuevos ejercicios de 1º Física II: tema-2-2.pdf

14 páginas

He publicado nuevos ejercicios de 1º Física II: tema-1-2.pdf

6 páginas

He publicado nuevos ejercicios de 1º Física II: Enunciados-problemas-temas-1-6-5.pdf

11 páginas