@user_5128787

Estudios: Bachillerato

4 Publicaciones

31 Interacciones

0 Seguidores

0 Siguiendo

Lista de publicaciones de user_5128787

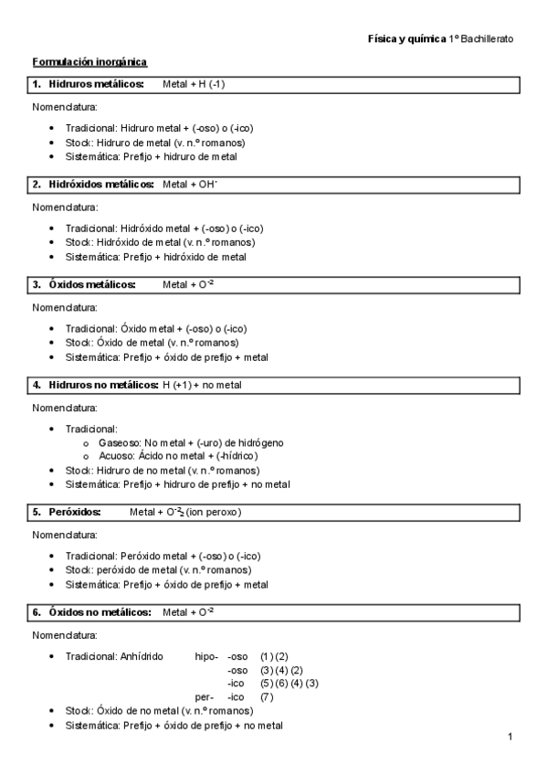
He publicado nuevos apuntes de 1º Física y Química: Formulacion-inorganica.pdf

3 páginas

He publicado nuevos apuntes de 1º Biología, Geología y Ciencias Ambientales: Tema 4: Biosfera.pdf

8 páginas

Mecanismos de aislamiento reproductivo y tipos de especiación.

2 páginas

En este documento se habla sobre: la creación de los cinco reinos y sus características, las teorías evolutivas y por último sobre la selección natural, adaotación y aclimatación de las especies.

6 páginas