@user_5139340

7 Publicaciones

135 Interacciones

0 Seguidores

0 Siguiendo

Lista de publicaciones de user_5139340

AGO Examen Final Enero 2023 Administración y Gestión de Organizaciones

7 páginas

AGO Examen Final 2024 Administración y Gestión de Organizaciones

9 páginas

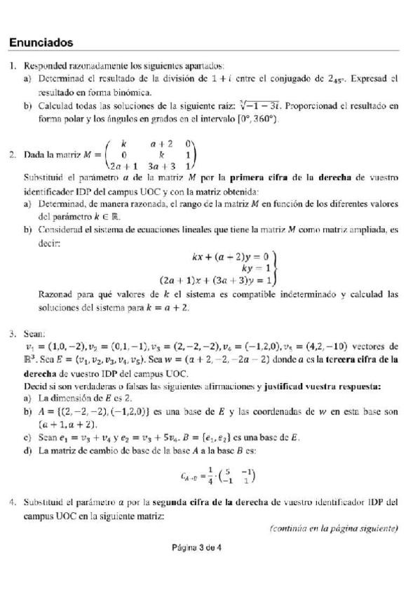
Examen de Álgebra: enero de 2024

1 página

He publicado nuevos examenes de 1º Álgebra: Examen-Final-Algebra-Junio-2024.pdf

2 páginas

He publicado nuevos examenes de 1º Fundamentos de Computadores: Ejercicio-2-Examen-2021-Solucionado.pdf

4 páginas

Ejercicio 1 Examen 2021 Representación de la información

2 páginas

He publicado nuevos examenes de 1º Fundamentos de Computadores: Ejercicio-examen-2015.pdf

1 página