@user_5429221

Estudios: Grado en Psicología (UB) ...Mostrar más

153 Publicaciones

855 Interacciones

12 Seguidores

1 Siguiendo

Lista de publicaciones de user_5429221

He publicado nuevos apuntes de 1º Psicología Social: T8.-Prejudici.pdf

8 páginas

He publicado nuevos apuntes de 1º Estadística: T12.-Coef.-de-correlacio-lineal-de-Pearson-i-altres-coef.-de-correlacio.pdf

4 páginas

He publicado nuevos apuntes de 1º Psicología Social: T7.-Influencia-Social.pdf

9 páginas

He publicado nuevos apuntes de 1º Estadística: T13-and-T14-Introduccio-a-Models-Estadistics.pdf

10 páginas

ejercicios

-

Procediment i exercicis T13 i T14

He publicado nuevos ejercicios de 1º Estadística: Procediment i exercicis T13 i T14

ANOVA-g.i..jpg
image.jpg
image.jpg
ANOVA-factorial.jpg

ejercicios

-

Procediment i exercicis T11

He publicado nuevos ejercicios de 1º Estadística: Procediment i exercicis T11

U-de-Mann-Whitney.jpg
image.jpg
T-de-Wilcoxon.jpg
image.jpg

ejercicios

-

Procediment i exemples T9 i T10

He publicado nuevos ejercicios de 1º Estadística: Procediment i exemples T9 i T10

t-student-g.i..jpg
image.jpg
t-student-m.r..jpg
image.jpg

ejercicios

-

Procediment i exemples T8

He publicado nuevos ejercicios de 1º Estadística: Procediment i exemples T8

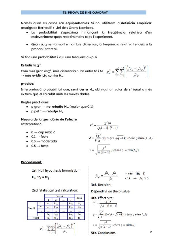
image.jpg
image.jpg

He publicado nuevos apuntes de 1º Aprenentatge, Motivacio i Emocio: Topic-7.-Motivation.pdf

7 páginas

He publicado nuevos apuntes de 1º Estadística: T11-Proves-No-Parametriques-U-de-Mann-Whitney-i-T-de-Wilcoxon.pdf

4 páginas

He publicado nuevos apuntes de 1º Aprenentatge, Motivacio i Emocio: Topic-6-Emotion.pdf

14 páginas

He publicado nuevos apuntes de 1º Psicofisiología: Vigilia-i-son.pdf

29 páginas

He publicado nuevos apuntes de 1º Diferencies Individuals: Tema-6.-Temperament-i-models-biologico-factorials-de-la-personalitat..pdf

7 páginas

He publicado nuevos apuntes de 1º Diferencies Individuals: Tema-7.-Models-lexic-factorials-de-la-personalitat.pdf

8 páginas

He publicado nuevos apuntes de 1º Diferencies Individuals: Tema-8.-Canvi-i-estabilitat-de-la-personalitat.pdf

9 páginas

He publicado nuevos apuntes de 1º Diferencies Individuals: Tema-9.-Herencia-i-genetica-de-les-DDII..pdf

11 páginas

apuntes

-

Esquemes psicofisio

He publicado nuevos apuntes de 1º Psicofisiología: Esquemes psicofisio

Audicio.jpg
Visio.jpg
Visio.jpg
Visio.jpg
Somestesia.jpg

He publicado nuevos apuntes de 1º Diferencies Individuals: Tema-10.-Cultura-societat-i-ambient-en-les-DDII.pdf

10 páginas

He publicado nuevos apuntes de 1º Psicofisiología: Sistema-motor-II.pdf

22 páginas

He publicado nuevos apuntes de 1º Psicología Social: T6.-Actituds.pdf

7 páginas