@user_5720874

8 Publicaciones

48 Interacciones

0 Seguidores

0 Siguiendo

Lista de publicaciones de user_5720874

apuntes

-

Teoria quimica organica

He publicado nuevos apuntes de 1º Química: Teoria quimica organica

tema-4-organica.pdf
tema-2-organica.pdf
tema-3-organica.pdf

He publicado nuevos apuntes de 1º Física II: tema-3-fisica.pdf

4 páginas

He publicado nuevos examenes de 1º Matemáticas II: parcial-1-25-26.pdf

7 páginas

He publicado nuevos examenes de 1º Matemáticas II: control-1.pdf

1 página

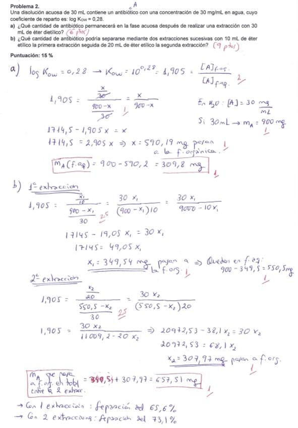
He publicado nuevos examenes de 1º Química: Examen-2026-resuelto-1-parcial.pdf

7 páginas

He publicado nuevos apuntes de 1º Química: Tema-1-organica.pdf

3 páginas