@user_5759298

Estudios: Grado en Ingeniería Química (UAB) ...Mostrar más

15 Publicaciones

206 Interacciones

3 Seguidores

0 Siguiendo

Lista de publicaciones de user_5759298

He publicado nuevos ejercicios de 2º Cinética Química: Problemes-repas-exaemen.pdf

1 página

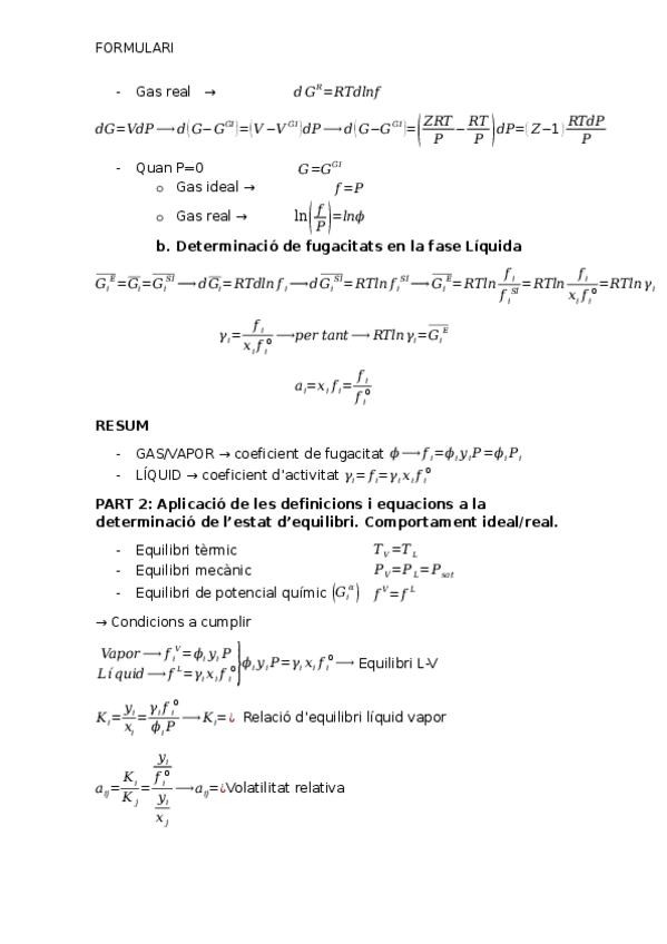
He publicado nuevos apuntes de 2º Cinética Química: Formlari-parcial-2.pdf

7 páginas

He publicado nuevos apuntes de 2º Termodinámica Aplicada: Formulari-T6-i-T7-termodinamica.docx

word

He publicado nuevos examenes de 1º Matemàtiques: Recuperacio-Primer-Parcial-Matematiques.pdf

1 página

He publicado nuevos examenes de 1º Matemàtiques: Primer-Parcial-Matematiques.pdf

1 página

He publicado nuevos examenes de 1º Bases de la Ingeniería Química: seminari-4-bases-enginyeria-quimica.pdf

1 página

He publicado nuevos examenes de 1º Bases de la Ingeniería Química: seminari-3-bases-enginyeria-quimica.pdf

1 página

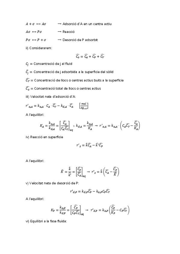
He publicado nuevos apuntes de 2º Cinética Química: Formulari-cinetica-quimica.pdf

12 páginas

He publicado nuevos examenes de 1º Bases de la Ingeniería Química: Seminari-Bases.pdf

1 página

He publicado nuevos examenes de 1º Matemàtiques: Seminari-1-avaluable.pdf

1 página

Resum per a l'examen de la part de laboratori

12 páginas

Preguntes extretes del test del Campus virtual

10 páginas

Solucio dels exercicis del tema 3

8 páginas

Apunts Termodinàmica Tema 3

29 páginas

Apunts Termodinamica tema 0,1 i 2

33 páginas