@user_6099823

7 Publicaciones

27 Interacciones

0 Seguidores

0 Siguiendo

Lista de publicaciones de user_6099823

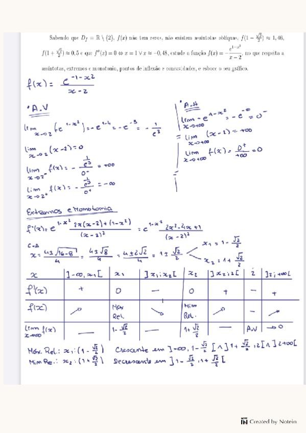
Este documento contém a resolução manuscrita e detalhada do Estudo Completo de uma Função. Ideal para estudantes de Engenharia que precisam de entender a sequência lógica para resolver este tipo de exercício em exame.

4 páginas

Step-by-Step Limits Calculation: Solving Indeterminate Forms | Calculus I. Este documento apresenta a resolução detalhada, feita à mão, de exercícios fundamentais de Cálculo de Limites. O foco principal é a resolução de formas indeterminadas. Gostaste des

4 páginas

Resolvi tudo à mão, com uma linguagem simples e direta, para que entendas o processo.

3 páginas

Resolução Passo a Passo: Primitivas por Substituição. Resolvi tudo à mão, com uma linguagem simples e direta, para que entendas o processo de mudança de variável sem confusões. É o material ideal para quem quer dominar as bases de substituição antes das f

6 páginas

Bloqueado no início das primitivas? Este guia prático explica a Regra da Potência de forma simples e direta, com os exemplos que realmente saem nos testes em português

10 páginas

Estás farto de te perder nas notas das aulas? Este resumo de Matemática I foi feito por uma estudante de Engenharia Mecânica e vai direto ao que interessa para as frequências e exames

11 páginas

Este documento foi preparado para simplificar os conceitos mais complexos da cadeira e ajudar-te a passar às frequências e exame sem perderes horas a ler o livro

15 páginas