@user_chomskybf

59 Publicaciones

1.61k Interacciones

15 Seguidores

1 Siguiendo

Lista de publicaciones de user_chomskybf

este es un modelo de examen con la respectiva teoría y alguna ampliación. En el examen de enero 2026 cayeron preguntas que pude responder solo con esto

27 páginas

son los tests que entran en el examen con la respuesta correcta

15 páginas

He publicado nuevos apuntes de 4º Vanguardia y Experimentación: tema-1.pdf

6 páginas

vendo los tres libros de Shakespeare (Romeo y Julieta, Hamlet y King Lear) con apuntes escritos de todas las clases de Julián, si a alguien le interesa que me hable.

todos los poemas de la parte de Leonor sin analizar incluyendo los dos ("Ozymandias" y "Eurydice") que entraron en el final

19 páginas

He publicado nuevos apuntes de 3º Shakespeare: King Lear (hasta primer acto).pdf

13 páginas

hay dos o tres que están mal, es un resumen de todos los exámenes de otros años que he encontrado, no garantizo que caigan

11 páginas

He publicado nuevos apuntes de 3º Shakespeare: Hamlet.pdf

18 páginas

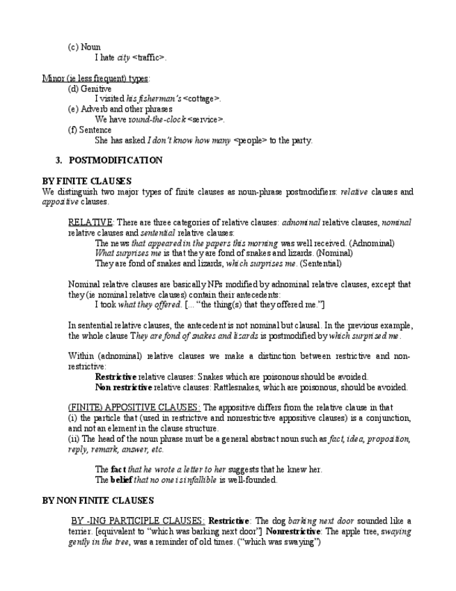
He publicado nuevos apuntes de 2º Gramática Inglesa II: apuntes-t.3.pdf

8 páginas

He publicado nuevos apuntes de 3º Shakespeare: Romeo-and-Juliet.pdf

14 páginas

He publicado nuevos practicas de 3º Pensamiento Anglosajón: cuestionarios trabajo.pdf

10 páginas

He publicado nuevos apuntes de 2º Gramática Inglesa I: apuntes gramatica Moodle.pdf

12 páginas

He publicado nuevos apuntes de 3º Prosa Ensayística y Periodística: fowler teoria - PROSA ENSAYÍSTICA.pdf

13 páginas

He publicado nuevos apuntes de 2º Formas Narrativas: TEMA-8-FORMAS-NARRATIVAS.pdf

7 páginas

He publicado nuevos apuntes de 2º Formas Narrativas: TEMA-7-FORMAS-NARRATIVAS.pdf

8 páginas

He publicado nuevos apuntes de 2º Formas Narrativas: TEMA-6-FORMAS-NARRATIVAS.pdf

2 páginas

He publicado nuevos apuntes de 2º Formas Narrativas: TEMA-5-FORMAS-NARRATIVAS.pdf

3 páginas

He publicado nuevos apuntes de 3º Historia de la Lengua Inglesa: HISTORIA DE LA LENGUA TEMA 4.pdf

4 páginas

He publicado nuevos apuntes de 3º Historia de la Lengua Inglesa: HISTORIA DE LA LENGUA TEMA 3.pdf

8 páginas

He publicado nuevos apuntes de 3º Historia de la Lengua Inglesa: HISTORIA DE LA LENGUA TEMA 2.pdf

4 páginas