@user_gia

14 Publicaciones

363 Interacciones

2 Seguidores

0 Siguiendo

Lista de publicaciones de user_gia

apuntes

-

Apuntes PEI2- Temas 5-8

He publicado nuevos apuntes de 1º Servicios e Infraestructuras Aeronáuticas: Apuntes PEI2- Temas 5-8

TEMA-5.pdf
TEMA-6.pdf
TEMA-8.pdf
TEMA-7.pdf

apuntes

-

PEI 1-temas 1-4

He publicado nuevos apuntes de 1º Servicios e Infraestructuras Aeronáuticas: PEI 1-temas 1-4

Tema-1.pdf
Tema-2.pdf
Tema-3.pdf
Tema-4.pdf

He publicado nuevos apuntes de 1º Física II: Apuntes-Temas-1-4.pdf

15 páginas

examenes

-

Soluciones examenes TAE

He publicado nuevos examenes de 1º Tecnología Aeronáutica: Soluciones examenes TAE

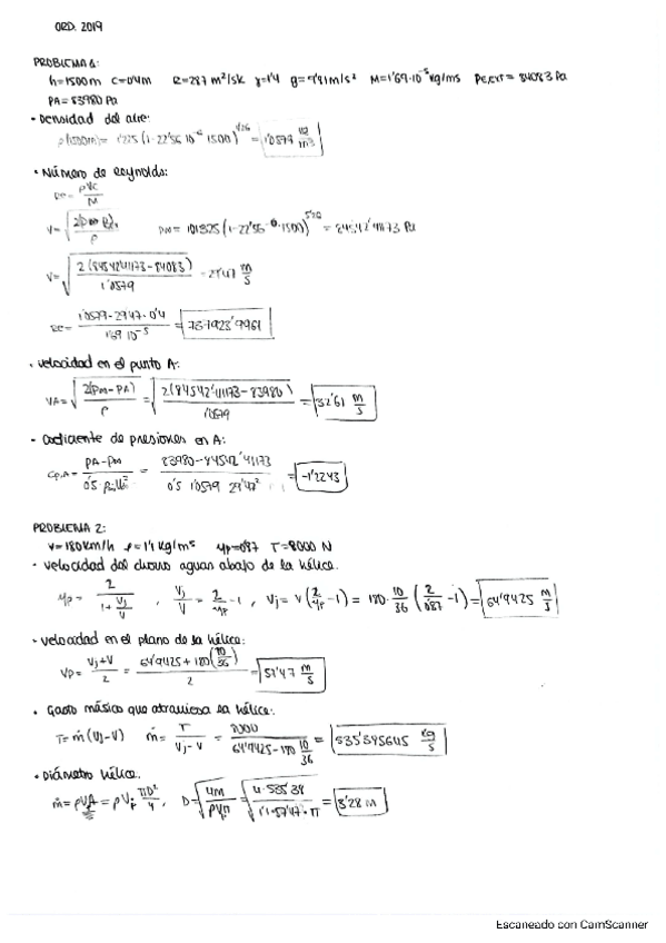
Ord.-2019-TAE-soluciones.pdf
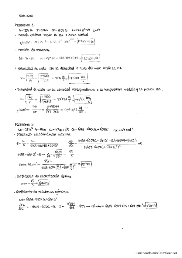
Ord.-2020-TAE-soluciones.pdf
Ord.-2021-TAE-soluciones.pdf
Ord.-2022-TAE-soluciones.pdf
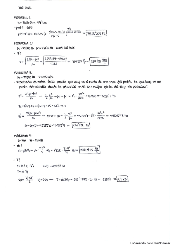
Ord.-2023-TAE-soluciones.pdf