@user_ingenieria

49 Publicaciones

1.01k Interacciones

3 Seguidores

2 Siguiendo

Lista de publicaciones de user_ingenieria

apuntes

-

APUNTES Y BOLETINES

He publicado nuevos apuntes de 2º Ciencia de Materiales: APUNTES Y BOLETINES

tema-1-apuntes-y-boletin.pdf
tema-2-apuntes-y-boletin.pdf
tema-3-apuntes-y-boletin.pdf
tema-4-apuntes-y-boletin.pdf

apuntes

-

TMA COMPLETO (apuntes, boletines, ejercicios repaso ordinaria)

He publicado nuevos apuntes de 1º Tecnología del Medio Ambiente: TMA COMPLETO (apuntes, boletines, ejercicios repaso ordinaria)

tema-1-apuntes-de-clase-y-boletin-completo.pdf
tema-2-apuntes-de-clase-y-boletin.pdf
tema-3-apuntes-de-clase-y-boletin.pdf
tema-4-apuntes-de-clase-y-boletin.pdf
tema-5-apuntes-de-clase-y-boletin.pdf
ejercicios-de-repaso-para-ordinaria.pdf

apuntes

-

SEGUNDA PARTE COMPLETA (apuntes, quiz y convocatorias resueltas)

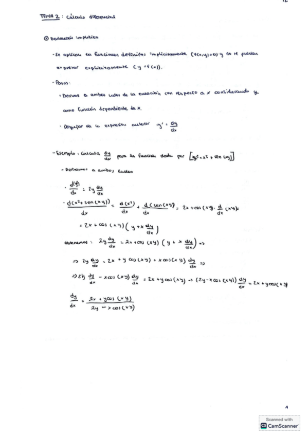
He publicado nuevos apuntes de 1º Matemáticas II: SEGUNDA PARTE COMPLETA (apuntes, quiz y convocatorias resueltas)

apuntes-tema-4.pdf
apuntes-tema-5-quiz-resuelto.pdf
convocatorias-resueltas.pdf

apuntes

-

PRIMERA PARTE COMPLETA (apuntes, boletines, quiz)

He publicado nuevos apuntes de 1º Matemáticas II: PRIMERA PARTE COMPLETA (apuntes, boletines, quiz)

TEMA-1-COMPLETO-apuntes-boletin-quiz.pdf
TEMA-2-COMPLETO-apuntes-boletin-quiz.pdf
TEMA-3-COMPLETO-apuntes-boletin.pdf

He publicado nuevos apuntes de 1º Matemáticas I: apuntes-T8-mates-i.pdf

7 páginas

He publicado nuevos apuntes de 1º Matemáticas I: apuntes-T7-mates-i.pdf

12 páginas

examenes

-

EXAMENES RESUELTOS 2024-2025

He publicado nuevos examenes de 1º Matemáticas I: EXAMENES RESUELTOS 2024-2025

EXTRAORDINARIAS-TEMAS-1-5.pdf
ORDINARIA-TEMAS-1-5.pdf
ORDINARIA-TEMAS-6-8.pdf
PARCIAL-TEMAS-1-5.pdf
QUIZ-T4-5.pdf
QUIZ-T6-7.pdf

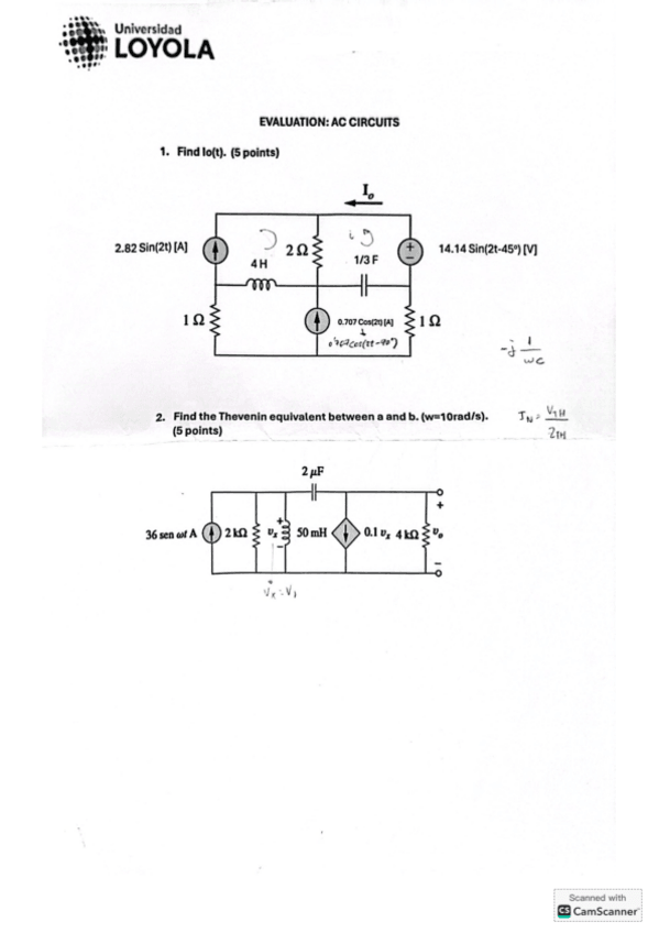
He publicado nuevos examenes de 2º Electrotecnia: PARCIAL-AC-2024-2025.pdf

1 página

He publicado nuevos examenes de 2º Electrotecnia: ORDINARIA-TRIFASICA-2024-2025.pdf

1 página

He publicado nuevos examenes de 2º Electrotecnia: ORDINARIA-AC-2024-2025.pdf

1 página

puede que haya algún fallo

7 páginas

puede que haya algún fallo

8 páginas

puede que haya algún fallo

9 páginas

puede que haya algún fallo

9 páginas

He publicado nuevos apuntes de 2º Mecanismos y elementos de máquinas: APUNTES-COMPLETOS-SEGUNDA-PARTE.pdf

39 páginas

puede que haya algún fallo

10 páginas

He publicado nuevos apuntes de 2º Mecanismos y elementos de máquinas: APUNTES-COMPLETOS-PRIMERA-PARTE.pdf

27 páginas

He publicado nuevos examenes de 1º Matemáticas I: PARCIAL-23-24-RESUELTO.pdf

6 páginas

He publicado nuevos apuntes de 1º Matemáticas I: APUNTES-COMPLETOS-CON-EJERCICIOS-PRIMERA-PARTE.pdf

43 páginas

He publicado nuevos examenes de 1º Matemáticas I: ORDINARIA-PRIMERA-PARTE-RESUELTA-PASO-A-PASO.pdf

10 páginas