@usuario_xrt

Estudios: Grado en Ingeniería Civil (UPC) ...Mostrar más

19 Publicaciones

415 Interacciones

0 Seguidores

5 Siguiendo

Lista de publicaciones de usuario_xrt

He publicado nuevos trabajos de 2º Mecánica II: PROYECTO-FTOOLS.pdf

pdf

He publicado nuevos apuntes de 2º Técnicas de Representación: 2a-PEC.pdf

2 páginas

He publicado nuevos apuntes de 2º Hidráulica de conducciones: Exercicis-Hidraulica-20-02-29-02.pdf

26 páginas

He publicado nuevos test de 2º Materials de Construcció: Test-examen.pdf

1 página

ejercicios

-

Homeworks

Están todos los homeworks del curso pero no corregidos!

HOMEWORK-1.pdf
HOMEWORK-3.pdf
HOMEWORK-5.pdf
HOMEWORK-7.pdf
HOMEWORK-10V2.pdf
HOMEWORK2.pdf

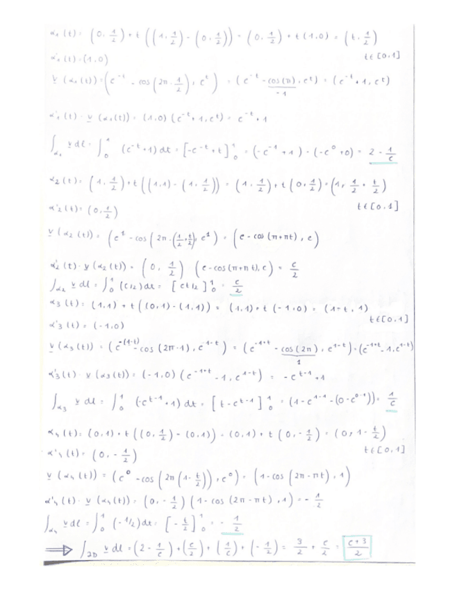
He publicado nuevos ejercicios de 2º Cálculo vectorial y ecuaciones diferenciales: Assignment-1.pdf

4 páginas

He publicado nuevos ejercicios de 2º Cálculo vectorial y ecuaciones diferenciales: Assignment-2.pdf

4 páginas

He publicado nuevos ejercicios de 2º Cálculo vectorial y ecuaciones diferenciales: Assignment-3.pdf

5 páginas