@vapoking

11 Publicaciones

2.04k Interacciones

3 Seguidores

1 Siguiendo

Lista de publicaciones de vapoking

He publicado nuevos apuntes de 4º Ingeniería de Software II: OnePage-Introduccion.pdf

pdf

He publicado nuevos apuntes de 4º Ingeniería de Software II: Formulario-Monitorizacion-y-control.pdf

pdf

apuntes

-

Resumenes

He publicado nuevos apuntes de 4º ADMINISTRACION DE SISTEMAS INFORMATICOS: Resumenes

RESUMEN-T1.pdf
RESUMEN-T2.pdf
ResumenWindowsServer.pdf

He publicado nuevos apuntes de 3º Inteligencia Artificial: LogicaBorrosa.pdf

60 páginas

He publicado nuevos apuntes de 2º Arquitectura de Computadores: PRUEBAS-HITO-1-PROYECTO-ENSAMBLADOR.pdf

18 páginas

He publicado nuevos apuntes de 2º Arquitectura de Computadores: FORMULARIO-ARQUITECTURA-1ER-PARCIAL.pdf

1 página

ejercicios

-

SUPUESTO 1 Y 2 HECHO EN CLASE

He publicado nuevos ejercicios de 2º Redes de Computadores: SUPUESTO 1 Y 2 HECHO EN CLASE

SUPUESTO-1-Y-2-HECHO-EN-CLASE.pdf

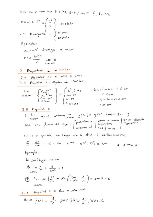
He publicado nuevos apuntes de 1º Cálculo: TEMA 1 SUCESIONES EN R.pdf

13 páginas