@VictorAvila

51 Publicaciones

1.72k Interacciones

1 Seguidores

1 Siguiendo

Lista de publicaciones de VictorAvila

practicas

-

Practicas Laboratorio

He publicado nuevos practicas de 3º Arquitecturas Tolerantes a Fallos: Practicas Laboratorio

Practica-1.pdf
Practica-2.pdf

practicas

-

Prácticas Dinámica

He publicado nuevos practicas de 3º Dinámica Espacial: Prácticas Dinámica

Práctica 1 - Cohete .pdf
Práctica 2 - NParticulas.pdf
Práctica 1 - Cohete_upgrade (dm/dt no cte) .pdf
Práctica 3 - ElementosOrbitales.pdf

practicas

-

Prácticas SSOO

He publicado nuevos practicas de 2º Sistemas Operativos: Prácticas SSOO

P2_1.pdf
P2_2.pdf
P3_1.pdf
P3_2.1.pdf
P3_2.2.pdf
P3_2.3.pdf

He publicado nuevos practicas de 1º Estadística: PRACTICA-7.2.pdf

1 página

He publicado nuevos practicas de 1º Estadística: PRACTICA-7.1.pdf

2 páginas

He publicado nuevos practicas de 1º Estadística: PRACTICA-5.2.pdf

4 páginas

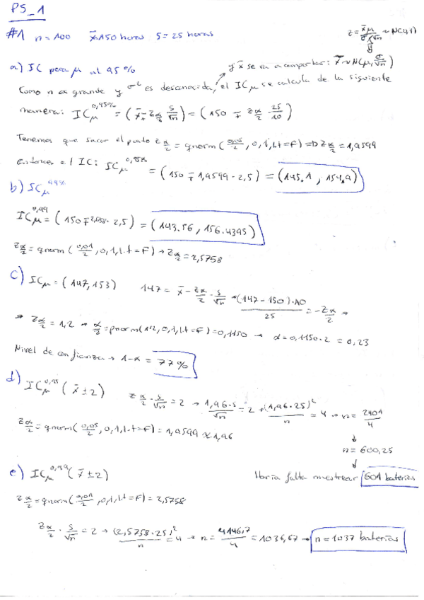
He publicado nuevos practicas de 1º Estadística: PRACTICA-7.0.pdf

2 páginas

He publicado nuevos practicas de 1º Estadística: PRACTICA-6.pdf

6 páginas

He publicado nuevos practicas de 1º Estadística: PRACTICA-5.1.pdf

6 páginas

He publicado nuevos apuntes de 1º Cálculo I: DEMOSTRACIONES-TEORIA-COMPLETAS.pdf

15 páginas

practicas

-

PRACTICAS PROGRMACIÓN

He publicado nuevos practicas de 1º Fundamentos de la Programación: PRACTICAS PROGRMACIÓN

P5.2.pdf
P5.1.pdf
P4.2.pdf
P4.1.pdf
P3.2.pdf
P3.1.pdf

He publicado nuevos apuntes de 1º Mecánica: FORMULARIO-PEI-2.pdf

2 páginas