@victoriaaa28

19 Publicaciones

257 Interacciones

0 Seguidores

0 Siguiendo

Lista de publicaciones de victoriaaa28

practicas

-

MEMORIAS LAB BLOQUE II

He publicado nuevos practicas de 2º Métodos Instrumentales Cuantitativos: MEMORIAS LAB BLOQUE II

PL4MIC.pdf
PL5MIC.pdf

practicas

-

Prácticas de LAB

He publicado nuevos practicas de 2º Fisiología Molecular de Plantas: Prácticas de LAB

Practica1FMP.pdf
Practica-2FMP.pdf
MEMORIA-PRACTICA-3-DESARROLLO-VEGETAL.pdf

He publicado nuevos examenes de 1º Química Física: PRUEBA-ORIGIN.pdf

3 páginas

He publicado nuevos ejercicios de 1º Química Física: TAREA-DETERMINACION-PARAMETROS-MOLECULARES.pdf

2 páginas

ejercicios

-

TAREAS QUÍMICA FÍSICA

He publicado nuevos ejercicios de 1º Química Física: TAREAS QUÍMICA FÍSICA

TAREA-TEMA-5.pdf
TAREA-TEMA-4.pdf
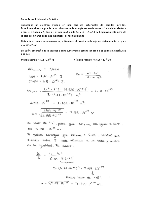
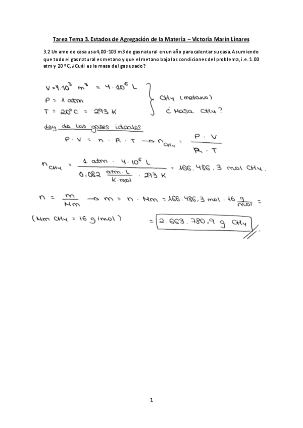
Tarea-TEMA-3.pdf
TAREA-TEMA-2.pdf
TAREA-TEMA-1.pdf

He publicado nuevos ejercicios de 1º Estadística Aplicada a la Bioquímica: EJERCICIOS-A-EVALUAR-ESTADISTICA-DESCRIPTIVA-BIVARIANTE.pdf

3 páginas

He publicado nuevos ejercicios de 1º Estadística Aplicada a la Bioquímica: CASOS-PRACTICOS-DE-EXAMEN-DE-REGRESION-LINEAL-SIMPLE.pdf

10 páginas

He publicado nuevos apuntes de 1º Química Física: PRACTICA-3-QUIMICA-FISICA.pdf

6 páginas

He publicado nuevos practicas de 1º Fundamentos de Genética: MEMORIA-GENETICA.pdf

4 páginas

He publicado nuevos practicas de 2º Enzimología: Memoria-de-Laboratorio-Enzimologia-2324.pdf

16 páginas