@viirginiaa04_

Estudios: Bachillerato

33 Publicaciones

183 Interacciones

1 Seguidores

3 Siguiendo

Lista de publicaciones de viirginiaa04_

He publicado nuevos apuntes de 2º Lengua Castellana y Literatura II: Valoracion-critica-Tristana-comentario-tristana.pdf

2 páginas

He publicado nuevos apuntes de 2º Historia de la Filosofía: ResumenAristoteles.pdf

2 páginas

He publicado nuevos apuntes de 2º Historia de la Filosofía: AGUSTIN-DE-HIPONA-apuntes.pdf

5 páginas

He publicado nuevos apuntes de 2º Historia de la Filosofía: ARISTOTELES-apuntes.pdf

12 páginas

He publicado nuevos apuntes de 1º Lengua Castellana y Literatura I: GUIA-PARA-EL-COMENTARIO-DE-TEXTO.pdf

2 páginas

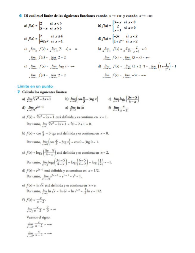
He publicado nuevos apuntes de 1º Matemáticas I: Tema-10-limites-y-funciones-Ejercicios-resueltos.pdf

20 páginas

He publicado nuevos apuntes de 1º Matemáticas I: Tarea-mate-funciones-soluciones.pdf

3 páginas

He publicado nuevos apuntes de 2º Inglés II: B2-vacabulario.pdf

10 páginas

He publicado nuevos apuntes de 2º Inglés II: GRAMMAR-y-WRITING.pdf

12 páginas

He publicado nuevos apuntes de 2º Inglés II: vocabulario-ingles-tema-0-y-tema-1-libro-burlington.pdf

3 páginas

He publicado nuevos apuntes de 2º Historia de España: Tema-3-la-edad-moderna-epigrafes-10-15-lineas.pdf

5 páginas

He publicado nuevos apuntes de 2º Matemáticas aplicadas a las Ciencias Sociales II: ejercicios-tema-3-cambinacion-lineal-CCSS.pdf

1 página

He publicado nuevos apuntes de 2º Matemáticas aplicadas a las Ciencias Sociales II: ejercicios-tema-2-determinantes-y-matrices-CCSS.pdf

2 páginas

He publicado nuevos apuntes de 2º Matemáticas aplicadas a las Ciencias Sociales II: EjerciciosTema-1matrices-CCSS.pdf

2 páginas

He publicado nuevos apuntes de 2º Lengua Castellana y Literatura II: subordinadasadverbiales-resumen.esquema.pdf

5 páginas

He publicado nuevos apuntes de 2º Lengua Castellana y Literatura II: Guia-comentario-de-texto-por-niveles-resumen-esquema.pdf

1 página

He publicado nuevos apuntes de 2º Lengua Castellana y Literatura II: valoracion-critica-de-Tristana-comentario-Tristana-siglo-XIX.pdf

2 páginas

He publicado nuevos apuntes de 2º Lengua Castellana y Literatura II: elaborar-texto-argumentativo-evau.pdf

18 páginas

He publicado nuevos apuntes de 2º Lengua Castellana y Literatura II: tema-3-La-Semantica.pdf

4 páginas

He publicado nuevos apuntes de 2º Lengua Castellana y Literatura II: El-realismo-y-rl-naturalismo..pdf

5 páginas