@VioletaD

Bio: Soporta que ya queda poco

104 Publicaciones

4.77k Interacciones

1 Seguidores

0 Siguiendo

Lista de publicaciones de VioletaD

He publicado nuevos examenes de 3º Genética Molecular: Ejercicios-examenes-20210322171317.pdf

3 páginas

He publicado nuevos ejercicios de 3º Genética Molecular: Problemas-Hoja-2-20210310195704.pdf

4 páginas

He publicado nuevos apuntes de 3º Genética Molecular: Regulacion-transcripcional-20210308010219.pdf

3 páginas

He publicado nuevos ejercicios de 3º Genética Molecular: Ejercicios-20210222190806.pdf

3 páginas

He publicado nuevos practicas de 2º Bioquímica Dinámica: Protocolo-Western-blot.pdf

25 páginas

He publicado nuevos apuntes de 2º Termodinámica y Cinética: Termometro-grillo.pdf

7 páginas

apuntes

-

Informes prácticas

He publicado nuevos apuntes de 2º Termodinámica y Cinética: Informes prácticas

Informe-practica-5.pdf
Practica-1-Violeta-Delgado-Almenta.pdf

ejercicios

-

EJERCICIOS CINÉTICA

He publicado nuevos ejercicios de 2º Termodinámica y Cinética: EJERCICIOS CINÉTICA

Ejercicios-2-cinetica-Violeta-Delgado-Almenta.pdf
Ejercicios-Examen-tipo-cinetica.pdf

He publicado nuevos ejercicios de 2º Genética: Problemas-evaluacion-continua.pdf

9 páginas

apuntes

-

Cuestionarios prácticas

He publicado nuevos apuntes de 2º Genética: Cuestionarios prácticas

CUESTIONARIO-6electroforesis.pdf
CUESTIONARIO-7cariotipos.pdf

ejercicios

-

Actividades Balance Energía y materia

He publicado nuevos ejercicios de 2º Principios de Ingeniería en Bioprocesos: Actividades Balance Energía y materia

Problema-Balance-Energia.pdf
Acticidad-Balance-de-Materia.pdf

ejercicios

-

TODOS LOS EJERCICIOS RESUELTOS

He publicado nuevos ejercicios de 2º Genética: TODOS LOS EJERCICIOS RESUELTOS

Clase-6.pdf
Clase-10.pdf
Problemas-Genetica-Clase-2.pdf
Clase-5.pdf
Clase-4-Mendelismo.pdf
Clase-9.pdf

ejercicios

-

EJERCICIOS EXAMEN 2 Y 3

He publicado nuevos ejercicios de 3º Operaciones de Separación: EJERCICIOS EXAMEN 2 Y 3

Examen-Os-2-20210113170600.pdf
Examen-Os-3-20210113170731.pdf

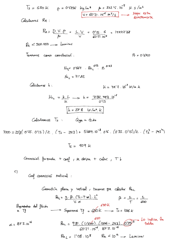
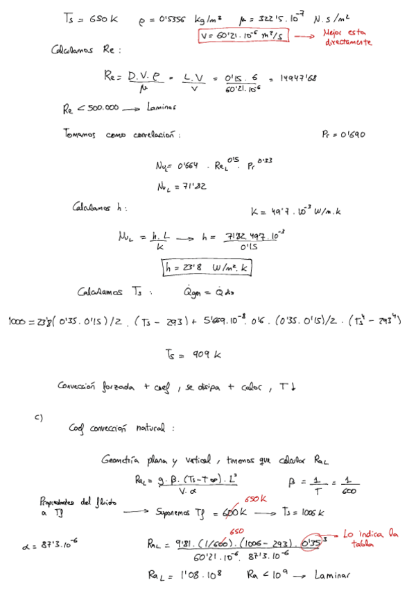
He publicado nuevos ejercicios de 3º Operaciones de Flujo de Fluidos y Transmisión de Calor: Examen-calor-20210113170213.pdf

31 páginas

apuntes

-

APUNTES

He publicado nuevos apuntes de 2º Bioquímica Dinámica: APUNTES

Tema-1.pdf
Tema-2.pdf
Tema-3.pdf
Tema-4.pdf
Tema-5.pdf
Tema-6.pdf

apuntes

-

APUNTES

He publicado nuevos apuntes de 2º Principios de Ingeniería en Bioprocesos: APUNTES

Tema-1.pdf
Tema-2.pdf