@Vity16

Estudios: Grado en Matemáticas (USAL) ...Mostrar más

Bio: ¡Hola a tod@s! Mi nombre es Víctor y soy estudiante del Grado en Matemáticas en la Universidad de Salamanca.

8 Publicaciones

179 Interacciones

0 Seguidores

0 Siguiendo

Lista de publicaciones de Vity16

He publicado nuevos ejercicios de 3º Estadística Matemática: Ejercicio-Contrastes-de-Hipotesis.pdf

3 páginas

He publicado nuevos ejercicios de 3º Estadística Matemática: Ejercicio-Intervalos-de-Confianza.pdf

4 páginas

He publicado nuevos ejercicios de 3º Estadística Matemática: Ejercicio-Cota-de-Cramer-Rao.pdf

2 páginas

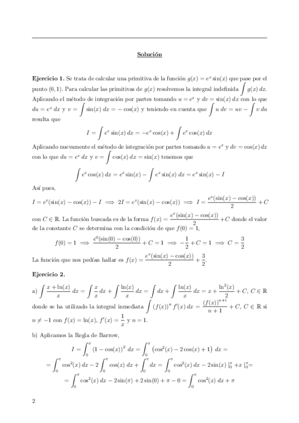
Si alguien quiere la solución a los ejercicios propuestos puede pedírmelas

5 páginas

He publicado nuevos apuntes de Historia de España: Estandares-de-historia-y-definiciones.pdf

80 páginas

He publicado nuevos apuntes de Matemáticas II: Pararuru-3.pdf

2 páginas

Si alguien quiere la solución a los ejercicios propuestos puede pedírmelas

9 páginas

Si alguien quiere la solución a los ejercicios propuestos puede pedírmelas

5 páginas