@wazowski_1

35 Publicaciones

713 Interacciones

2 Seguidores

1 Siguiendo

Lista de publicaciones de wazowski_1

apuntes

-

Intro a la contabilidad

He publicado nuevos apuntes de 1º Introducción a la Contabilidad: Intro a la contabilidad

Miniatura no disponible
Supuestos-practicos.pdf
Miniatura no disponible
Solucion-Supuesto-1.pdf
Miniatura no disponible
Solucion-Supuesto-2.pdf
Miniatura no disponible
Solucion-Supuesto-3.pdf
Miniatura no disponible
Solucion-Supuesto-4.pdf
Miniatura no disponible
Listado-de-cuentas.pdf

practicas

-

Microeconomía

He publicado nuevos practicas de 1º Principios de Microeconomía: Microeconomía

Miniatura no disponible
PMMaterialPracticas2020BLOQUE-IIsep-2023.pdf
Miniatura no disponible
PMMaterialPracticas2021BLOQUE-IVersion-definitiva-20-diciembre2023.pdf

apuntes

-

Fundamentos

He publicado nuevos apuntes de 1º FUNDAMENTOS DE DIRECCIÓN DE LA EMPRESA: Fundamentos

Temas-1-3-Fundamentos.pdf
TEMAS-4-7--Fundamentos.docx
TEMAS-4-7--Fundamentos.pdf

ejercicios

-

ejercicios empresa

He publicado nuevos ejercicios de 1º Empresa: ejercicios empresa

Balances.pdf
Ejercicios-Inversiones.pdf
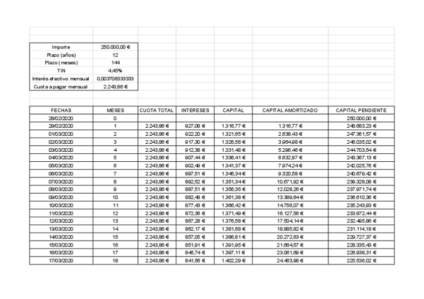
ejercicio-2-excel-prestamos.pdf
ejercicio-1-excel-prestamos.pdf

examenes

-

Exámenes álgebra resueltos

He publicado nuevos examenes de 1º Matemáticas I: Exámenes álgebra resueltos

Examen-2016.pdf
Examen-2018.pdf
Examen-2017noviembre.pdf
Examen-2017febrero.pdf
Examen-2017enero.pdf
Examen-2018enero.pdf

practicas

-

prácticas física

He publicado nuevos practicas de 1º Física I: prácticas física

httpseii.cv.uma.espluginfile.php496670modfoldercontent0Ley20de20Hooke.pdfforcedownload1.pdf
httpseii.cv.uma.espluginfile.php496670modfoldercontent0Plano20inclinado20estatica.pdfforcedownload1.pdf

He publicado nuevos ejercicios de 1º Química: Relacion-problemas-T6-quimica.pdf

6 páginas

ejercicios

-

Ejercicios T5 mates I

He publicado nuevos ejercicios de 1º Matemáticas I: Ejercicios T5 mates I

Relacion-T5.pdf

practicas

-

Prácticas química

He publicado nuevos practicas de 1º Química: Prácticas química

Practica-2.-Calorimetria.pdf
Practica-3.-Redox.pdf
Practica-1.-Cinetica.pdf

ejercicios

-

Estadística

He publicado nuevos ejercicios de 1º Estadística e Investigación Operativa: Estadística

T4-relacion.pdf

practicas

-

Prácticas derecho civil

He publicado nuevos practicas de 1º Introducción al Derecho: Prácticas derecho civil

Practica-2.pdf
Practica-3.pdf
Practica-1.pdf
Practica-4.pdf
Practica-5.pdf

He publicado nuevos apuntes de 1º Estadística e Investigación Operativa: estadística tema-5.pdf

6 páginas