@Wilddread

71 Publicaciones

1.16k Interacciones

2 Seguidores

0 Siguiendo

Lista de publicaciones de Wilddread

apuntes

-

SOLO CON ESTO APROBË ATÖMICA

Este año dio clase Sarsa y los exámenes los ponían entre los dos

APUNTES-DE-TEORIA.pdf
BASICOS-A-MEMORIZAR.pdf
EXAMENES-RESUELTOS.pdf
TEORIA-PARTE-1-MEMORIZAR-LO-SENALADO-EN-ROJO.pdf
TEORIA-PARTE-2-MEMORIZAR-LO-SENALADO-EN-ROJO.pdf
TEORIA-PARTE-3-MEMORIZAR-LO-SENALADO-EN-ROJO.pdf

apuntes

-

SOLO CON ESTO APROBÉ FÏSICA ESTADÍSTICA

He publicado nuevos apuntes de 3º Física Estadística: SOLO CON ESTO APROBÉ FÏSICA ESTADÍSTICA

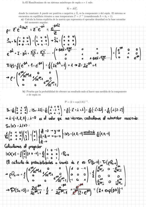
PROBLEMAS.pdf

apuntes

-

SOLO CON ESTO APROBÉ SÓLIDO

He publicado nuevos apuntes de 4º Física del Estado Sólido: SOLO CON ESTO APROBÉ SÓLIDO

TEORIA.pdf
PROBLEMAS.pdf

He publicado nuevos apuntes de 4º Física Atómica y Molecular: Apuntes-completos.pdf

34 páginas

Con estos apuntes conseguí un 9 en el examen

37 páginas

He publicado nuevos apuntes de 4º Mecánica Cuántica: Tema-3.pdf

21 páginas

He publicado nuevos apuntes de 4º Mecánica Cuántica: Tema-1.pdf

39 páginas

He publicado nuevos apuntes de 4º Mecánica Cuántica: Tema-2.pdf

19 páginas

He publicado nuevos apuntes de 4º Mecánica Cuántica: Problemas.pdf

27 páginas

He publicado nuevos apuntes de 4º Mecánica Cuántica: MecanicaCuanticaentregable2e95bad4b938500f9e7e59913488918ae.pdf

2 páginas

He publicado nuevos apuntes de 4º Mecánica Cuántica: MecanicaCuanticaEntregable1847071b7c64a99be864c0e751f30f369-2.pdf

4 páginas

apuntes

-

Apuntes Completos

He publicado nuevos apuntes de 3º Física Estadística: Apuntes Completos

Tema-3.pdf
Tema-4.pdf
Tema-5.pdf
Tema-6.pdf
Tema-1.pdf
Tema-2.pdf

He publicado nuevos apuntes de 4º Física del Estado Sólido: Tema-6.pdf

5 páginas

He publicado nuevos apuntes de 4º Física del Estado Sólido: Tema-5.pdf

9 páginas

He publicado nuevos apuntes de 4º Física del Estado Sólido: Tema-4.pdf

7 páginas

He publicado nuevos apuntes de 4º Física del Estado Sólido: Tema-3.pdf

5 páginas

He publicado nuevos apuntes de 3º Física Estadística: Tema-6.pdf

10 páginas

He publicado nuevos apuntes de 3º Física Estadística: Tema-5.pdf

15 páginas

He publicado nuevos apuntes de 3º Física Estadística: Tema-4.pdf

10 páginas

He publicado nuevos apuntes de 3º Física Estadística: Tema-3.pdf

12 páginas