@XGade

Bio: ...

162 Publicaciones

13.28k Interacciones

8 Seguidores

0 Siguiendo

Lista de publicaciones de XGade

Tengo varios apuntes y exámenes durante los cursos de 1º, 2º, 3º y 4ª de Grado en ADE en nuestro perfil

practicas

-

ENUNCIADOS DE PRÁCTICAS

He publicado nuevos practicas de 3º Contabilidad de Costes: ENUNCIADOS DE PRÁCTICAS

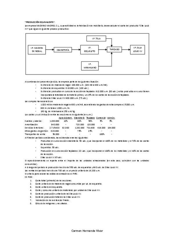
SILLA-LOUIS-XV-enunciado.pdf
Empresa-Lucent-enunciado.pdf
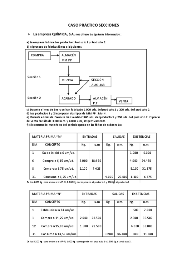
QUIMICASA-enunciado.pdf
TEMA-2-a.pdf
MEPLA-Y-TLAXA-SIN-REPARTO-SECUNDARIO-enunciado.pdf
CASO-PRACTICO-METODO-ABC.pdf

apuntes

-

APUNTES TEÓRICO DE TEMAS 1 al 8

He publicado nuevos apuntes de 3º Contabilidad de Costes: APUNTES TEÓRICO DE TEMAS 1 al 8

TEMA-8-cc.pdf
TEMA-4-CC.pdf
TEMA-1-CC.pdf
TEMA-2-CC.pdf
TEMA-5-cc.pdf
tema-6-cc.pdf

He publicado nuevos examenes de 1º Estadistica Descriptiva: EXAMEN-FINAL-2016.pdf

6 páginas

He publicado nuevos examenes de 1º Estadistica Descriptiva: EXAMEN-FINAL-2015.pdf

6 páginas

He publicado nuevos examenes de 1º Estadistica Descriptiva: EXAMEN-FINAL-2014.pdf

10 páginas

He publicado nuevos examenes de 1º Estadistica Descriptiva: EXAMEN-EXTRAORDINARIO-2014.pdf

8 páginas

He publicado nuevos examenes de 1º Estadistica Descriptiva: CONTROL-2.pdf

2 páginas

He publicado nuevos examenes de 1º Estadistica Descriptiva: CONTROL-1.pdf

3 páginas

He publicado nuevos examenes de 1º Microeconomía: Micro1-Parcial1-Grupo-113-Modelo-A-R.pdf

7 páginas

He publicado nuevos examenes de 1º Microeconomía: Segundo-examen-parcial-10-de-mayo-2017.pdf

5 páginas

He publicado nuevos examenes de 1º Microeconomía: EXAMEN-FINAL-2017.pdf

6 páginas

examenes

-

EXAMENES FINALES 2015 y 2016

He publicado nuevos examenes de 1º Métodos Matemáticos Para la Empresa: EXAMENES FINALES 2015 y 2016

MMJ2016.pdf
MMJ2015.pdf
MMM2016.pdf
MMM2015.pdf

He publicado nuevos examenes de 2º Fundamentos Básicos de Econometría: EXAMENPARCIAL2017FBE.pdf

4 páginas

He publicado nuevos examenes de 2º Fundamentos Básicos de Econometría: EXAMENPARCIAL2018FBE.pdf

3 páginas

He publicado nuevos apuntes de 2º Macroeconomía: Economía Abierta e Inflación: EXAMEN-CUESTIONARIO-3-2017.pdf

2 páginas

He publicado nuevos examenes de 2º Macroeconomía: Economía Abierta e Inflación: EXAMEN-OFICIAL-CUESTIONARIO-1-G.pdf

2 páginas

He publicado nuevos examenes de 2º Macroeconomía: Economía Abierta e Inflación: EXAMENFINALOA-DALIBERATORIO.pdf

4 páginas

examenes

-

EXÁMENES PARCIALES TEST (2018 y 2019)

He publicado nuevos examenes de 2º Macroeconomía: Economía Abierta e Inflación: EXÁMENES PARCIALES TEST (2018 y 2019)

EXAMEN-OFICIAL-CUESTIONARIO-1-2018.pdf
EXAMEN-OFICIAL-CUESTIONARIO-3-T.pdf
EXAMEN-OFICIAL-CUESTIONARIO-3-T.pdf
EXAMEN-OFICIAL-CUESTIONARIO12019TEMA12.pdf
EXAMEN-OFICIAL-CUESTIONARIO-2-T.pdf

He publicado nuevos examenes de 3º Econometría de la Empresa: EXAMEN-PARCIAL-ECONOMETRIA-MODELO-A-2018.pdf

2 páginas