@xincheta

18 Publicaciones

96 Interacciones

1 Seguidores

0 Siguiendo

Lista de publicaciones de xincheta

Primer control de introducción de 2025

1 página

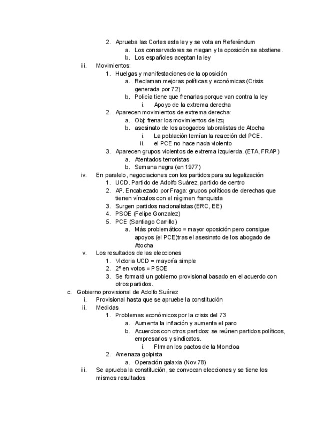
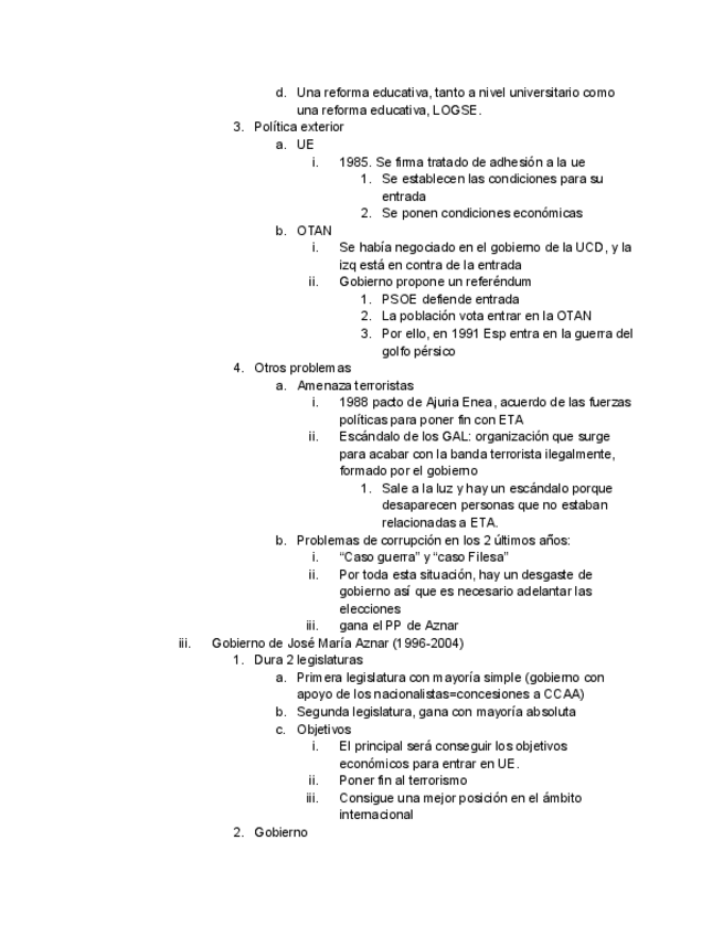
Esquema para estudiar directamente

2 páginas

Esquema para estudiar directamente

5 páginas

Esquema para estudiar directamente

3 páginas

Esquema para estudiar directamente

2 páginas

Esquema para estudiar directamente

4 páginas

Esquema para estudiar directamente

5 páginas

Esquema para estudiar directamente

3 páginas

Esquema para estudiar directamente

4 páginas

Esquema para estudiar directamente

5 páginas

Esquema para estudiar directamente

8 páginas

Esquema para estudiar directamente

3 páginas