@xX_Marx_05_Xx

Bio: Goku supporter

208 Publicaciones

6.51k Interacciones

22 Seguidores

1 Siguiendo

Lista de publicaciones de xX_Marx_05_Xx

ejercicios

-

Resolucions detallades d'en Marc

Hola! Aquí penjaré les meves resolucions dels problemes d'Espectrocòpia. Si veieu errors o teniu dubtes, em podeu escriure sense problemes, com sempre. Salut!

ESP-T1-Problemes.pdf
ESP-T2-Problemes.pdf

apuntes

-

Apunts d'en Marc

Hola, hola! Com és habitual, aniré penjant els apunts aquí. Poden contenir algun error, però es van revisant continuament. Bon estudi!

ESP-T1-Teoria.pdf
ESP-T2-Teoria.pdf

apuntes

-

Resums d'en Marc

Hola! Malgrat no faré apunts a LaTeX d'aquesta assignatura per motius evidents, pujaré els resums de cada tema que poden ser uns apunts fins a cert punt. Aniré actualitzant.

ERCO-T1-Resum.pdf
ERCO-T2-Resum.pdf
ERCO-T3-Resum.pdf
1P-Temes-1-al-4.pdf
ERCO-T4-Resum.pdf
ERCO-T5-Resum.pdf

apuntes

-

Apunts d'en Marc

Hola! Aquests són els apunts de Química Analítica i Electroanàlisi, fets amb molt carinyo. Si detecteu errors o voleu fer suggerències, feu-m'ho saber. Aniré actualitzant. DESCARREGUEU EL DOCUMENT, Wuolah fot coses rares i no es veu bé. Si el descarregeu

QAiE-T1-Apunts.pdf
QAiE-T2-Apunts.pdf
QAiE-T3-Apunts.pdf
QAiE-T4-Apunts.pdf
QAiE-T5-Apunts.pdf
QAiE-T6-Apunts.pdf

apuntes

-

Resums d'en Marc

M'he cansat de posar descripcions.

ESP-T1-Resum-den-Marc.pdf

apuntes

-

Resums d'en Marc

He publicado nuevos apuntes de 2º Química Analítica i Electroanàlisi: Resums d'en Marc

QAiE-T7-Resum-den-Marc.pdf
QAiE-T5-Resum-den-Marc.pdf
QAiE-T8--Quali-Resum-den-Marc.pdf
QAiE-T6-Resums-den-Marc.pdf

examenes

-

Materials d'estudi segon parcial

He publicado nuevos examenes de 2º Química Analítica i Electroanàlisi: Materials d'estudi segon parcial

QAiE-Test-P2.pdf
2P-Problemes-model.pdf

ejercicios

-

Resolucions detallades d'en Marc

Hola! Aquestes són les resolucions dels exercicis de QAiE, fets amb molt carinyo. Si detecteu errors o voleu fer suggerències, feu-m'ho saber. Aniré actualitzant.

QAiE-T1-Problemes.pdf
QAiE-T2-Problemes.pdf
QAiE-T5-Problemes.pdf
QAiE-T6-Problemes.pdf
QAiE-T7-Problemes.pdf
QAiE-T4-Problemes.pdf

He publicado nuevos examenes de 2º Estructura i Reactivitat dels Compostos Orgànics: ERCO-Evidencies-fins-al-2P-2526.pdf

8 páginas

apuntes

-

Apunts d'en Marc

Hola! Aquests són els apunts de FTS, fets amb molt carinyo. Si detecteu errors o voleu fer suggerències, feu-m'ho saber. Aniré actualitzant.

FTS-T1-Apunts.pdf
FTS-T2-Apunts.pdf
FTS-T4-Apunts.pdf
FTS-T3-Apunts.pdf
FTS-T5-Apunts.pdf
FTS-T6-Apunts.pdf

ejercicios

-

Resolucions detallades d'en Marc

Hola! Inclouré les resolucions detallades de tots els exercicis de ERCO (extres i no extres) aquí. No els faig en LaTeX perquè em suïcidaria dibuixant estructures, i no volem que això passi. Aniré actualitzant!

ERCO-T1-Problemes.pdf
ERCO T1 Problemes_Extres.pdf
ERCO-T2-Problemes.pdf
(WIP) ERCO T0 Nomenclatura i formulació.pdf
ERCO-T3-Problemes.pdf
ERCO-T4-Problemes.pdf

ejercicios

-

Exercicis i resolucions detallades d'en Marc

Hola! Aquestes són les resolucions dels exercicis de FTS (incloent els problemes resolts que es pengen al CV), fets amb molt carinyo. Si detecteu errors o voleu fer suggerències, feu-m'ho saber. Aniré actualitzant.

FTS-T1-Problemes.pdf
FTS-T2-Problemes.pdf
FTS-T3-Problemes.pdf
FTS-T4-Problemes.pdf
FTS-T5-Problemes.pdf
FTS-T6-Problemes.pdf

He publicado nuevos apuntes de 2º Estructura i Reactivitat dels Compostos Orgànics: ERCO-Diagrames-reactivitat-2P.pdf

4 páginas

apuntes

-

Resum/formulari per temes

He publicado nuevos apuntes de 3º Fenòmens de Transport i Fenòmens de Superfície: Resum/formulari per temes

FTS-T1-Resum.pdf
FTS-T2-Resum.pdf
FTS-T3-Resum.pdf
FTS-T4-Resum.pdf
FTS-T5-Resum.pdf
FTS-T6-Resum.pdf

examenes

-

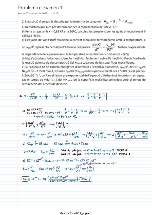
Materials d'estudi

Hola! Aquí penjaré les evis i exàmens solucionats per mi en la mesura del possible.

Primer-Parcial.pdf
Segon-Parcial.pdf

examenes

-

Materials d'estudi segon parcial

Aquest és un recull de preguntes de teoria i problemes del segon parcial de inge. Tant aviat com pugui penjaré les meves resolucions. Ànims!

Problemes-Enunciats.pdf
Teoria-Enunciats.pdf

ejercicios

-

Ejercicios

He publicado nuevos ejercicios de 2º Fonaments d'Enginyeria Química: Ejercicios

FEQ-L0-Anonim.pdf
FEQ-L1-Anonim.pdf
FEQ-L2-Anonim.pdf
FEQ-L3-Anonim.pdf
FEQ-L4-Anonim.pdf