@yelinasantander

36 Publicaciones

1.13k Interacciones

2 Seguidores

0 Siguiendo

Lista de publicaciones de yelinasantander

He publicado nuevos apuntes de 2º Currículo, Sociedad y Equipos Docentes: trabajo-individual.pdf

pdf

He publicado nuevos apuntes de 2º Cultura, Medio y Enseñanza de lo Social: trabajo-individual.pdf

pdf

apuntes

-

apuntes sociología

He publicado nuevos apuntes de 1º Sociedad, Cultura y Educación: apuntes sociología

apuntes teoría

apuntes

-

apuntes y lecturas psicología

He publicado nuevos apuntes de 1º Aprendizaje y Desarrollo Psicológico I: apuntes y lecturas psicología

lectura 5
lectura 1
lectura 2
lectura 3
lectura 6
lectura 4

apuntes

-

apuntes música

He publicado nuevos apuntes de 1º Didáctica de la Música en Educación Primaria: apuntes música

apuntes teoría

apuntes

-

apuntes y trabajos EF

He publicado nuevos apuntes de 1º Didáctica de la Educación Física en la Educación Primaria: apuntes y trabajos EF

apuntes teoría
entrega final porfolio
apuntes videos (edpuzzle)

apuntes

-

apuntes y trabajos valores

He publicado nuevos apuntes de 1º Formación en Valores y Competencias Personales para Docentes: apuntes y trabajos valores

código deontológico del profesorado
tema 4
tema 3.2
tema 5
tema 1
tema 3

apuntes

-

apuntes plástica y trabajo final

He publicado nuevos apuntes de 1º Expresión Plástica y su Didáctica en Educación Primaria: apuntes plástica y trabajo final

trabajo final
apuntes teoría

apuntes

-

apuntes matemáticas

He publicado nuevos apuntes de 1º Matemáticas Para Maestros: apuntes matemáticas

apuntes teoría (tema 1 y 2)
apuntes teoría (tema 3 y 4)
triángulos para practicar
plantilla tangram

apuntes

-

apuntes lengua

He publicado nuevos apuntes de 1º Lengua Española y Comunicación I: apuntes lengua

apuntes teoría
apuntes tema 4 (sintaxis)

apuntes

-

apuntes y trabajos fundamentos

He publicado nuevos apuntes de 1º Fundamentos Teóricos de la Educación Primaria: apuntes y trabajos fundamentos

apuntes teoría
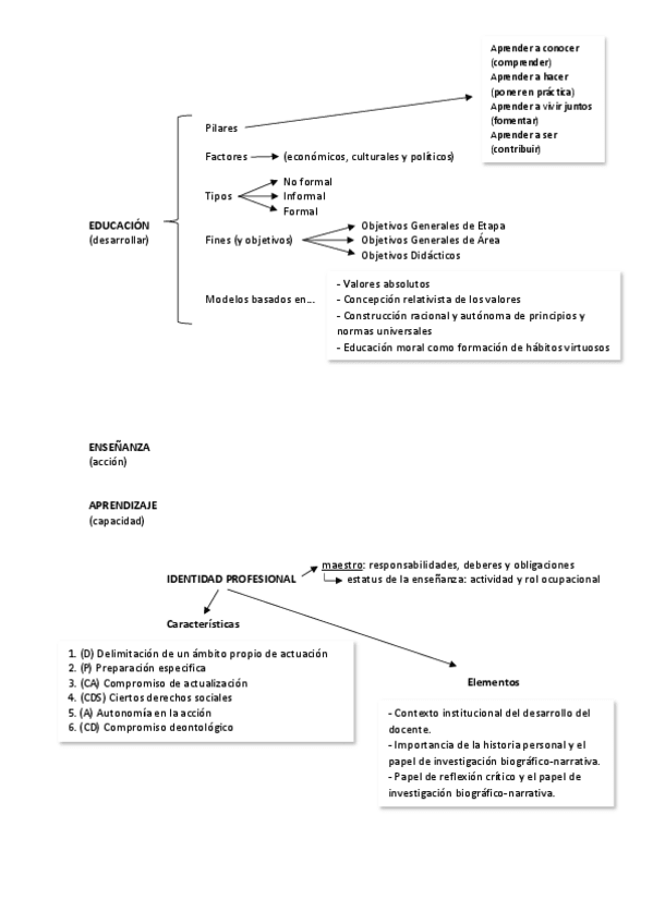
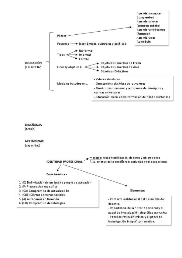
esquema teoria
F6 (esquema tema 2)
trabajo (la educación prohibida)