@ynbq_

Bio: Intento de bioquímica :)

55 Publicaciones

1.71k Interacciones

3 Seguidores

0 Siguiendo

Lista de publicaciones de ynbq_

He publicado nuevos apuntes de 3º Biotecnología Microbiana: Parcial-1.-Conceptos-clave.pdf

33 páginas

apuntes

-

Preguntas POR TEMAS - segundo parcial

He publicado nuevos apuntes de 3º Bioquímica Clínica y Patología Molecular: Preguntas POR TEMAS - segundo parcial

Respuestas-segundo-parcial.pdf
Preguntas-segundo-parcial.pdf

apuntes

-

Preguntas POR TEMAS - primer parcial

Recopilatorio de preguntas por temas (con/sin respuesta)

Respuestas-parcial-1.pdf
Recopilatorio-preguntas-POR-TEMAS-parcial-1.pdf

apuntes

-

Apuntes temas 1-13

He publicado nuevos apuntes de 2º Estructura de Macromoléculas: Apuntes temas 1-13

Tema-713.pdf
Tema-6.pdf
Tema-4.pdf
Tema-3.pdf
Tema-2.pdf
Tema-1.pdf

apuntes

-

Esquemas por temas

He publicado nuevos apuntes de 2º Inmunología: Esquemas por temas

Tema-12.pdf
Tema-11.pdf
Tema-9.pdf
Tema-8.pdf
Tema-7.pdf
Tema-6.pdf

apuntes

-

2022-2023

He publicado nuevos apuntes de 2º Biofísica: 2022-2023

0.pdf
1-BIOENERGETICA.pdf
2-Difusion-y-permeabilidad.pdf

He publicado nuevos apuntes de 1º Fundamentos de Bioquímica: Moleculas-bq-T2-T5.pdf

13 páginas

apuntes

-

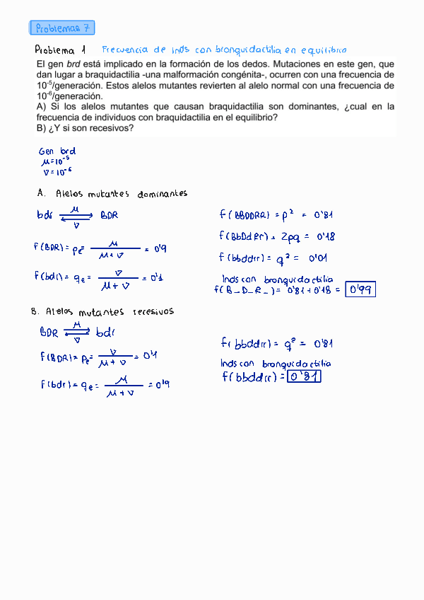
Series de problemas

He publicado nuevos apuntes de 1º Fundamentos de Genética: Series de problemas

Serie-5.pdf
Serie-6.pdf
Serie-7.pdf

apuntes

-

Apuntes 21-22

He publicado nuevos apuntes de 1º Fundamentos de Microbiología: Apuntes 21-22

Bloque II. Lecciones 4-10.pdf
Bloque III- Lecciones 14-15.pdf
Bloque III-Lecciones 11-13.pdf
Bloque IV- Lecciones 16-17.pdf
Bloque V- Lección 20.pdf

apuntes

-

Temario

He publicado nuevos apuntes de 1º Química Física: Temario

1-Gases-reales.pdf
2-y-3-Termodinamica.pdf
5-Funciones-de-energia-libre.pdf
4-Termoquimica.pdf
7-Diagramas-de-fases-sustancias-puras.pdf
6-Termodinamica-de-sistemas-multipotentes.pdf