@Zeph_r

Estudios: Grado en Ingeniería Civil (UGR) ...Mostrar más

36 Publicaciones

2.16k Interacciones

4 Seguidores

1 Siguiendo

Lista de publicaciones de Zeph_r

He publicado nuevos apuntes de 4º Derecho Internacional Privado: D.I.Privado-apuntespracticas.pdf

30 páginas

He publicado nuevos examenes de 4º Derecho Financiero II: preguntas-examen-financiero-II.pdf

10 páginas

He publicado nuevos examenes de 2º Derecho Penal de la Ordenación del Territorio y Medioambiental: preguntas-examen-derecho-penal-ord.territorio-y-m.ambiente.pdf

5 páginas

He publicado nuevos examenes de 3º Geotecnia de Obras Civiles: Ejercicios-tipo-examen.pdf

24 páginas

He publicado nuevos examenes de 4º Elementos Prefabricados: Ejercicios-examen-y-tipo-examen.pdf

12 páginas

He publicado nuevos examenes de 4º Organización y Gestión de Proyectos: Preguntas-examen-por-temas-OGP.pdf

32 páginas

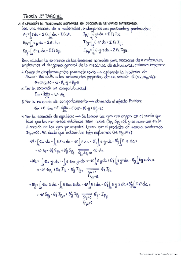
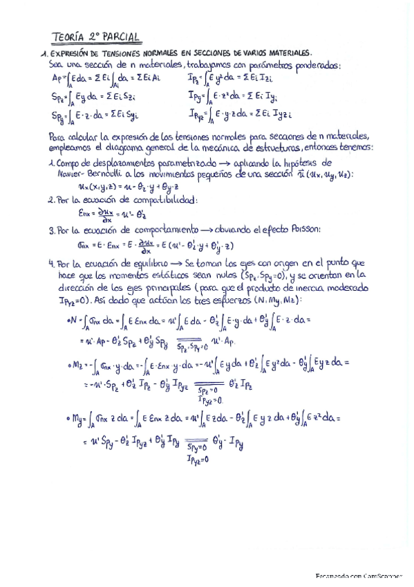
He publicado nuevos examenes de 3º Teoria de Estructuras: Preguntas-teoria-2-3-parcial.pdf

14 páginas

He publicado nuevos apuntes de 3º Teoria de Estructuras: Resumen-por-temas.pdf

25 páginas

He publicado nuevos examenes de 3º Teoria de Estructuras: Preguntas-teoria-1-Parcial.pdf

11 páginas

He publicado nuevos ejercicios de 2º Electrotecnia: Entregas-lineas.pdf

14 páginas

He publicado nuevos examenes de 2º Electrotecnia: examenes-resueltos.pdf

19 páginas

He publicado nuevos ejercicios de 2º Electrotecnia: Entregas-monofasica.pdf

34 páginas

He publicado nuevos ejercicios de 2º Electrotecnia: Entregas-trifasica.pdf

25 páginas

He publicado nuevos examenes de 2º Cimientos en la Ingeniería Civil: ejercicios-y-examenes-C.Superficiales.pdf

14 páginas

He publicado nuevos examenes de 2º Ampliación de Matemáticas: ejercicios-examen-por-temas.pdf

38 páginas

He publicado nuevos ejercicios de 4º Hidráulica Litoral: Propagacion-y-transformacion-Clima-maritimo.pdf

20 páginas

He publicado nuevos ejercicios de 3º Ingeniería Marítima y Costera: Ejercicios exámen-Propagacion-y-Transformacion.pdf

15 páginas

He publicado nuevos apuntes de 2º Procesos Constitucionales: Resumenes-y-preguntas-de-examen.pdf

19 páginas

He publicado nuevos examenes de 4º Ferrocarriles: Ejercicios-barra-larga-soldada.pdf

12 páginas

He publicado nuevos examenes de 4º Ferrocarriles: ejercicios-traccion.pdf

8 páginas