Chuleta

Publicaciones sobre Chuleta

examenes

-

Examenes resueltos (metodos numericos) (primer parcial)

Examenes de metodos numericos 2024/2025 RESUELTOS paso a paso y incluyo chuleta con formulas y pasos de todos los temas que entran en el primer parcial de metodos

Chuleta-del-tema-1-al-6-para-primer-parcial-metodos-numericos.pdf
Examen-de-recuperacion-resuelto-paso-a-paso-metodos-numericos-2024-2025.pdf
Examen-Tipo-A-resuelto-paso-a-paso-metodos-numericos-2024-2025.pdf
Examen-Tipo-B-resuelto-paso-a-paso-metodos-numericos-2024-2025.pdf
resumen-preguntas-tipo-test-Tema-1-al-6-primer-parcial-metodos.pdf

He publicado nuevos apuntes de 2º Análisis de Estructuras: chuleta-para-primer-parcial-analisis-de-estructuras-FORMULAS.pdf

1 página

apuntes

-

Algebra 1 parcial

Resúmenes del Merino-Santos

Aplicaciones-lineales.pdf
Chuleta-tema-1.pdf
Espacios-vectoriales.pdf
Sistemas-de-ecuaciones-matrices-y-determinantes.pdf

Todas las formulas necesarias para el tema 1

1 página

El 80% de los puntos que se pierden en el examen de Física de la PAU no son por no saberse las fórmulas... ¡son por poner mal un signo o liarse con las unidades! Hemos analizado los fallos más comunes de los últimos 10 años y hemos creado esta "chuleta" d

2 páginas

He publicado nuevos apuntes de 2º Campos y Ondas en Telecomunicación: Chuleta-T3.pdf

1 página

He publicado nuevos apuntes de 2º Lenguajes y Paradigmas de Programación: chuleta-resumen-listas-estructuradas.html

apuntes

-

TDS

He publicado nuevos apuntes de 3º Tratamiento Digital de la Señal: TDS

TDS-Summaries-and-Last-Years-Exam.pdf
workingNotesPracticeExam.pdf
APUNTES-PRACTICA-TDS.pdf
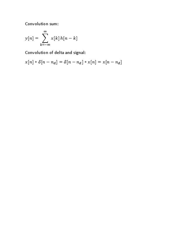
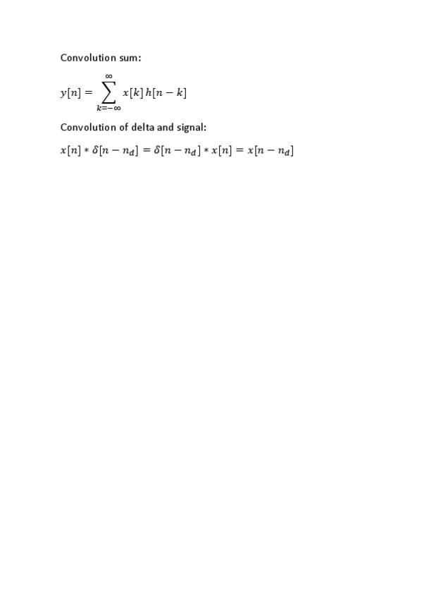
Chuletario-Chapter-1.pdf
Chuletario-TDS.pdf
Chapter-1-Continuous-Assesment-Part-3.pdf

He publicado nuevos apuntes de 1º Bioestadística: 2o-PARCIAL-CHULETA-PRACTICO-HOJA.pdf

2 páginas

Esquema de las posiciones del cuerpo

1 página

He publicado nuevos apuntes de 2º Redes de Computadores: Chuletario-1o-parcial.pdf

1 página

He publicado nuevos apuntes de 2º Sistemas de Tiempo Discreto: ChuletarioSistemasdeTiempoDiscreto.pdf

1 página

apuntes

-

Teoría IRAC

He publicado nuevos apuntes de 1º Integración de Redes, Aplicaciones y Contenidos: Teoría IRAC

Unit-2.-Real-Time-Communication-Over-IP.pdf
Chuleta-Parcial-1-IRAC.pdf

Resumen de teoría y procedimientos a seguir en el programa SPSS. Segundo semestre Medicina 2025/26.

2 páginas

apuntes

-

Chuletarios Estadística

Formularios de Estadística

Chuletario-T3-Probabilidad.pdf
Chuletario-Tema-4.pdf
Anónimo

@Anónimo

Chuletario con todas las fórmulas, te lo podrás llevar al examen, y que mejor forma que llevarte uno completísimo para aprobar de sobra.

4 páginas
Anónimo

@Anónimo

Chuletario con todas las fórmulas, te lo podrás llevar al examen, y que mejor forma que llevarte uno completísimo para aprobar de sobra.

4 páginas

resumen pares craneales

2 páginas

He publicado nuevos apuntes de 1º Estadística: ChuletarioEstadisticaExamen1.pdf

2 páginas

He publicado nuevos apuntes de 2º Redes de Computadores: Chuleta-Redes.pdf

2 páginas