Grado en Ciencias Ambientales (UB)
Barcelona
Asignaturas de Grado en Ciencias Ambientales (UB)
Asignatura
arrow_downward4º
•
5 posts
1º
•
22 posts
3º
•
7 posts
2º
•
36 posts
3º
•
12 posts
1º
•
40 posts
3º
•
13 posts
3º
•
0 posts
2º
•
22 posts
3º
•
12 posts
3º
•
30 posts
3º
•
10 posts
4º
•
0 posts
1º
•
50 posts
2º
•
33 posts
3º
•
15 posts
2º
•
26 posts
3º
•
10 posts
4º
•
0 posts
1º
•
7 posts
1º
•
9 posts
1º
•
43 posts
2º
•
29 posts
1º
•
47 posts
2º
•
33 posts
3º
•
1 posts
4º
•
6 posts
4º
•
0 posts
1º
•
7 posts
2º
•
26 posts
2º
•
19 posts
4º
•
0 posts
4º
•
0 posts
4º
•
0 posts
4º
•
0 posts
1º
•
13 posts
1º
•
9 posts
4º
•
4 posts
2º
•
7 posts
4º
•
0 posts
1º
•
27 posts
2º
•
13 posts
3º
•
19 posts
Últimas publicaciones de Grado en Ciencias Ambientales (UB)
He publicado nuevos apuntes de 3º Caracteritzacio i Gestio de Residus i Aigues Residuals: CARACTERITZACIO-I-GESTIO-DE-RESIDUS-I-AIGUES-RESIDUALS-T1-T5.pdf
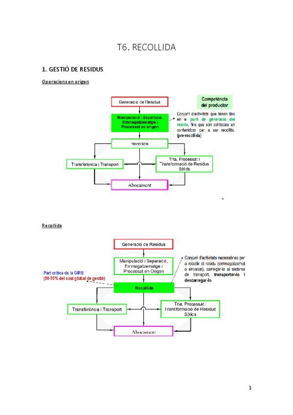
He publicado nuevos apuntes de 3º Caracteritzacio i Gestio de Residus i Aigues Residuals: RESIDUS-T6.pdf
Apunts de l'assignatura "Ecologia de Poblacions i Comunitats", part de comunitats. 3r curs del grau de Ciències Ambientals. Apunts complets
Apunts de l'assignatura "Ecologia de Poblacions i Comunitats", part de poblacions. 3r curs del grau de Ciències Ambientals. Apunts complets
He publicado nuevos apuntes de 2º Geografia Fisica i Climatologia: UNITAT-7-ELS-MOVIMENTS-VERTICALS-DE-LAIRE.pdf
He publicado nuevos apuntes de 2º Geografia Fisica i Climatologia: UNITAT-8-LA-PRECIPITACIO.pdf
He publicado nuevos apuntes de 2º Geografia Fisica i Climatologia: UNITAT-9-LA-PRESSIO-ATMOSFERICA-I-EL-VENT.pdf
He publicado nuevos apuntes de 2º Geografia Fisica i Climatologia: UNITAT-10-LES-MASSES-DAIRE-I-ELS-FRONTS.pdf
He publicado nuevos apuntes de 2º Geografia Fisica i Climatologia: UNITAT-11-LA-CIRCULACIO-GENERAL-ATMOSFERICA-CGA.pdf
He publicado nuevos apuntes de 1º Fonaments de Biologia: UNITAT-I-Models-dherencia.pdf
He publicado nuevos apuntes de 1º Fonaments de Biologia: UNITAT-II-Herencia-monogenica-i-poligenica.pdf
He publicado nuevos apuntes de 1º Fonaments de Biologia: UNITAT-III-Herencia-lligada-al-sexe-i-altres-models-dherencia.pdf
He publicado nuevos apuntes de 1º Fonaments de Biologia: UNITAT-V-Herencia-de-caracters-complexos.pdf
He publicado nuevos apuntes de 1º Fonaments de Biologia: UNITAT-IV-Interaccio-genica-i-epistasi.pdf
He publicado nuevos apuntes de 1º Fonaments de Biologia: UNITAT-VI-Encreuament-i-recombinacio.pdf
He publicado nuevos apuntes de 1º Fonaments de Biologia: UNITAT-VII-mutacions-dels-cromosomes.pdf
He publicado nuevos apuntes de 1º Fonaments de Biologia: Membranes-cellulars-i-transport-2.pdf
He publicado nuevos apuntes de 1º Fonaments de Biologia: Organuls-cellulars.pdf
He publicado nuevos apuntes de 1º Fonaments de Biologia: Interaccions-cellulars-matriu-extracellular-i-unions-3.pdf
He publicado nuevos apuntes de 1º Fonaments de Biologia: UNITATS-IV-I-V-BLOC-2.pdf
He publicado nuevos apuntes de 1º Fonaments de Biologia: EL-METABOLISME.pdf
He publicado nuevos apuntes de 1º Fonaments de Biologia: RELACIO-ESTRUCTURA-FUNCIO-DE-LES-BIOMOLECULES.pdf
He publicado nuevos apuntes de 1º Fonaments de Biologia: TERMODINAMICA-DELS-PROCESSOS-BIOLOGICS.pdf
He publicado nuevos apuntes de 1º Fonaments de Biologia: TRANSCRIPCIO-I-TRADUCCIO.pdf
He publicado nuevos apuntes de 1º Biología Vegetal: UNITAT-1-El-mon-vegetal.pdf
He publicado nuevos apuntes de 1º Biología Vegetal: UNITAT-2-Plantes-terrestres-2.pdf
He publicado nuevos apuntes de 1º Biología Vegetal: UNITAT-3-Adaptacions-de-les-plantes-al-medi.pdf
He publicado nuevos apuntes de 1º Biología Vegetal: UNITAT-4-Angiospermes-i-gimnospermes.pdf
He publicado nuevos apuntes de 1º Biología Vegetal: UNITAT-5-Vegetacio-2.pdf
He publicado nuevos apuntes de 1º Biología Vegetal: UNITAT-7-Relacions-entre-les-plantes-i-lambient-2.pdf
He publicado nuevos apuntes de 1º Biología Vegetal: UNITAT-6-Plantes-i-societat-2.pdf
He publicado nuevos apuntes de 1º Biología Vegetal: UNITAT-8-Absorcio-i-transport-daigua-i-nutrients-2.pdf
He publicado nuevos apuntes de 1º Biología Vegetal: UNITAT-9-La-llum-com-a-efector-ecofisiologic-4.pdf
He publicado nuevos apuntes de 1º Biología Vegetal: UNITAT-10-Les-hormones-vegetals-2.pdf
He publicado nuevos apuntes de 1º Geología : UNITAT-2-Litosfera-estructura-i-processos-2.pdf
He publicado nuevos apuntes de 1º Geología : UNITAT-1-Introduccio-al-sistema-Terra-2.pdf
He publicado nuevos apuntes de 1º Geología : UNITAT-3-Mineralogia-2.pdf
He publicado nuevos apuntes de 1º Geología : UNITAT-4-Roques-ignies-2.pdf
He publicado nuevos apuntes de 1º Geología : UNITAT-5-Roques-sedimentaries.pdf
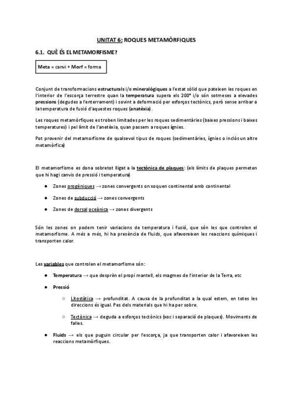
He publicado nuevos apuntes de 1º Geología : UNITAT-6-Roques-metamorfiques.pdf
He publicado nuevos apuntes de 1º Geología : UNITAT-7-Aigues-superficials-subterranies-i-glaceres.pdf
He publicado nuevos apuntes de 1º Geología : UNITAT-8-El-litoral-i-els-oceans-2.pdf
He publicado nuevos apuntes de 1º Dret Ambiental: UNITAT-1-Aspectes-basics.pdf
He publicado nuevos apuntes de 1º Dret Ambiental: UNITAT-2-El-Dret-ambiental-el-concepte-de-medi-ambient-els-principis-del-Dret-ambiental.pdf
He publicado nuevos apuntes de 1º Dret Ambiental: UNITAT-3-Dret-internacional-del-medi-ambient.pdf
He publicado nuevos apuntes de 1º Dret Ambiental: UNITAT-4-Dret-Ambiental-de-la-UE.pdf
He publicado nuevos apuntes de 1º Dret Ambiental: UNITAT-5-Les-bases-constitucionals-i-estatuaries-de-la-proteccio-del-medi-ambient-3.pdf
He publicado nuevos apuntes de 1º Dret Ambiental: UNITAT-6-Lorganitzacio-administrativa-en-lambit-del-medi-ambient-2.pdf
He publicado nuevos apuntes de 1º Dret Ambiental: UNITAT-7-Introduccio-als-instruments-juridics-per-a-la-proteccio-del-medi-ambient-2.pdf
Apunts examen final societat i medi ambient, resum de tots els textos.
He publicado nuevos apuntes de 2º Microbiología Ambiental: UNITAT-16-CICLE-DELS-ELEMENTS-I-CONSEQUENCIES.pdf
He publicado nuevos apuntes de 2º Microbiología Ambiental: UNITAT-15-INTERACCIONES-MICROORGANISMES-ANIMALS-I-PLANTES.pdf
He publicado nuevos apuntes de 2º Microbiología Ambiental: UNITAT-14-RESISTENCIES-MICROBIANES.pdf
He publicado nuevos apuntes de 2º Microbiología Ambiental: UNITAT-13-TRANSPORT-DE-MICROORGANISMES-EN-EL-MEDI-AMBIENT.pdf
He publicado nuevos apuntes de 2º Microbiología Ambiental: UNITAT-12-LABORATORIS-DE-MICROBIOLOGIA-AMBIENTAL.pdf
He publicado nuevos apuntes de 2º Microbiología Ambiental: UNITAT-10-DIVERSITAT-MICROBIANA.pdf
He publicado nuevos apuntes de 2º Microbiología Ambiental: UNITAT-11-ELS-VIRUS.pdf
He publicado nuevos apuntes de 2º Microbiología Ambiental: UNITAT-9-VARIABILITAT-GENETICA.pdf
He publicado nuevos apuntes de 2º Microbiología Ambiental: UNITAT-8-CARACTERISTIQUES-DE-LA-GENETICA-MICROBIANA.pdf
