
Grado en Administración y Dirección de Empresas (UDL)
Lleida
Asignaturas de Grado en Administración y Dirección de Empresas (UDL)
Asignatura
arrow_downward4º
•
0 posts
4º
•
2 posts
2º
•
26 posts
2º
•
15 posts
3º
•
1 posts
4º
•
2 posts
3º
•
7 posts
2º
•
19 posts
1º
•
38 posts
2º
•
14 posts
3º
•
0 posts
3º
•
6 posts
3º
•
0 posts
4º
•
1 posts
3º
•
1 posts
4º
•
0 posts
3º
•
8 posts
1º
•
18 posts
2º
•
11 posts
4º
•
0 posts
1º
•
9 posts
1º
•
8 posts
2º
•
9 posts
1º
•
27 posts
1º
•
44 posts
2º
•
6 posts
1º
•
54 posts
4º
•
0 posts
4º
•
0 posts
4º
•
0 posts
1º
•
25 posts
4º
•
0 posts
4º
•
0 posts
4º
•
0 posts
3º
•
0 posts
2º
•
17 posts
1º
•
10 posts
4º
•
0 posts
4º
•
0 posts
4º
•
0 posts
4º
•
0 posts
4º
•
0 posts
2º
•
17 posts
1º
•
5 posts
3º
•
8 posts
2º
•
17 posts
4º
•
0 posts
4º
•
0 posts
4º
•
0 posts
4º
•
0 posts
4º
•
0 posts
Últimas publicaciones de Grado en Administración y Dirección de Empresas (UDL)
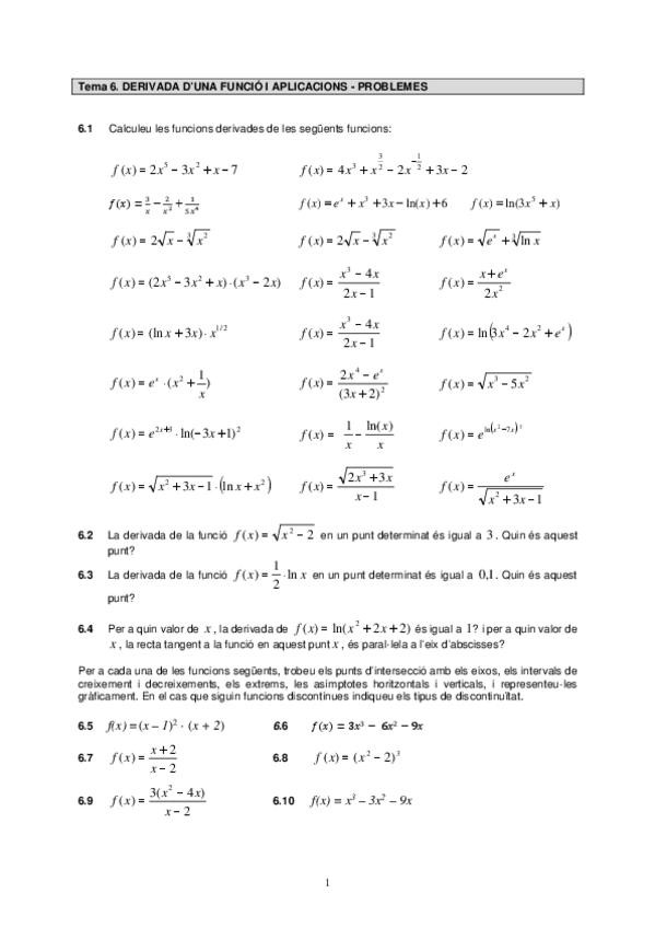
He publicado nuevos apuntes de 1º Matemáticas Empresariales: Tema-6.-Derivada-duna-funcio-i-aplicacions-Problemes.pdf
He publicado nuevos ejercicios de 1º Matemáticas Empresariales: Tema-5.-Funcions-i-Grafiques-Problemes.pdf
He publicado nuevos apuntes de 1º Fundamentos de Contabilidad: Apunts-FC-25-26.pdf
He publicado nuevos apuntes de 1º Fundamentos de Gestión de Empresas: 1FundGestEmpTema1202526-1.pdf
examenes
-
Exámenes Corregidos Macroeconomía
5 Exámenes CORREGIDOS de Desarrollo Teórico + Índice de Contenidos
examenes
-
Exámenes Corregidos Fundamentos
5 Exámenes CORREGIDOS de Desarrollo Teórico + Índice de Contenidos
He publicado nuevos apuntes de 1º English for Business I: English-for-Business-UNIT-2LAIASERVETO.pdf
He publicado nuevos apuntes de 1º Fundamentos de Gestión de Empresas: Gestio-dEmpreses-TEMA10LAIASERVETO.pdf
He publicado nuevos apuntes de 1º Fundamentos de Gestión de Empresas: Gestio-dEmpreses-TEMA-9LAIASERVETO.pdf
He publicado nuevos apuntes de 1º Fundamentos de Gestión de Empresas: Gestio-dEmpreses-TEMA-8LAIASERVETO.pdf
He publicado nuevos apuntes de 1º Fundamentos de Gestión de Empresas: Gestio-dEmpreses-TEMA-7LAIASERVETO.pdf
He publicado nuevos apuntes de 1º Fundamentos de Gestión de Empresas: Gestio-dEmpreses-TEMA-6LAIASERVETO.pdf
He publicado nuevos apuntes de 1º Historia Económica: Historia-Economica-TEMA-3-I-4LAIASERVETO.pdf
kadslfñmcdas´kvlñskmldfskogjdfskvask´ld kasl´kglsdbladfsmvklskjgjkldfsmbkldfmvsm,ñl,ñsal,d,slañ
Tema 1, 2, 3, 4 i 5 molts resumits per l'exàmen parcial de NOVEMBRE 2025
He publicado nuevos apuntes de 1º Fundamentos de Gestión de Empresas: FundGestEmpTema42025-26.pdf
TEMA 4. L'EMPRESA I L'ENTORN. MACROENTORN EXTERN I ENTORN PROPER. SCM I LA CADENA DE VALOR.
TEMA 2. CONCEPTO DE EMPRESA. INTRODUCCIÓN A LA ESTRUCTURA ECONÓMICA Y FINANCIERA
TEMA 1 L’EMPRESA COM A REALITAT SOCIOECONÒMICA
practicas
-
Tema 0
Preliminars. Ejercicios 1, resueltos de repaso del Tema 0
alguien tiene el examen de economia I de 2024 de junio?
He publicado nuevos examenes de 1º Derecho Mercantil: Examen-junio-2024.pdf
He publicado nuevos examenes de 1º Derecho Mercantil: Examen-junio-2024.pdf
He publicado nuevos apuntes de 1º Estadística Básica: Exercicis-temes-1-i-2-Repas.pdf
He publicado nuevos apuntes de 1º Estadística Básica: Exercicis-Temes-3-i-4.pdf
He publicado nuevos apuntes de 1º Estadística Básica: Exercicis-Temes-3-4-REPAS.pdf
He publicado nuevos apuntes de 2º Derecho Financiero y Tributario: PRACTICA-1-DRET-FINANCIER-I-TRIBUTARI.pdf
He publicado nuevos apuntes de 2º Derecho Financiero y Tributario: DRET-FINANCER-2.pdf
He publicado nuevos apuntes de 1º Estadística Básica: FORMULARI-EB-TEMES-1-4-1r-parcial.pdf
He publicado nuevos ejercicios de 1º Estadística Básica: SOLUCIONARI-EXERCICIS-EB-TEMES-1-4.pdf
He publicado nuevos apuntes de 1º Estadística Básica: Tema-3-Estadistica-descriptiva-bidimensional.pdf
He publicado nuevos apuntes de 1º Estadística Básica: TEMA-1-ESTADISTICA-BASICA.pdf
He publicado nuevos practicas de 1º Derecho Mercantil: Practica-Dret-mercantil-corregida.pdf
He publicado nuevos apuntes de 1º Estadística Básica: Exercicis-Temes-1-i-2.pdf
He publicado nuevos ejercicios de 2º Contabilidad de Costes: Tema-6-Casos-I-activitats-complementaries.pdf
He publicado nuevos ejercicios de 2º Contabilidad de Costes: Tema-5-Casos-I-activitatscomplementaries.pdf
He publicado nuevos ejercicios de 2º Contabilidad de Costes: Tema-4-Casos-I-activitats-complementaries.pdf
He publicado nuevos ejercicios de 2º Contabilidad de Costes: Tema-3-Casos-I-activitats-complementaries.pdf
He publicado nuevos ejercicios de 2º Contabilidad de Costes: Tema-2-Casos-i-activitats-complementaries.pdf
He publicado nuevos apuntes de 2º Contabilidad de Costes: Tema-6-Apuntes.pdf
He publicado nuevos apuntes de 2º Contabilidad de Costes: TEMA-5-Apuntes.pdf
Apuntes completos del tema 4 incluso los añadidos para la semana final de examenes
He publicado nuevos apuntes de 2º Contabilidad de Costes: TEMA-3-Apuntes.pdf