
Grado en Ingeniería Agrícola (UHU)
Huelva
Sube tus apuntes
arrow_forwardAsignaturas de Grado en Ingeniería Agrícola (UHU)
Asignatura
arrow_downward4º
•
6 posts
4º
•
5 posts
1º
•
4 posts
2º
•
24 posts
1º
•
21 posts
2º
•
7 posts
2º
•
10 posts
2º
•
8 posts
3º
•
6 posts
4º
•
1 posts
1º
•
31 posts
2º
•
2 posts
1º
•
21 posts
1º
•
1 posts
2º
•
4 posts
2º
•
6 posts
3º
•
1 posts
1º
•
20 posts
1º
•
9 posts
3º
•
2 posts
3º
•
1 posts
3º
•
11 posts
2º
•
18 posts
2º
•
6 posts
4º
•
3 posts
3º
•
1 posts
4º
•
0 posts
1º
•
26 posts
3º
•
10 posts
2º
•
4 posts
4º
•
0 posts
Últimas publicaciones de Grado en Ingeniería Agrícola (UHU)
He publicado nuevos apuntes de 2º Construcciones Agrarias: Examenes-Construcciones-agrarias.pdf
He publicado nuevos examenes de 2º Ngeniería del Riego: Examenes-Ingenieria-del-riego.pdf
He publicado nuevos examenes de 1º Química Analítica y Bioquímica: Actividad-carbohidratos-Examen.pdf
He publicado nuevos examenes de 1º Edafología y Climatología: I-conv.-ordinaria2025.-Ejercicios-resueltos.pdf
He publicado nuevos examenes de 2º Ngeniería del Riego: Examen-Julio-2025.pdf
He publicado nuevos examenes de 2º Ngeniería del Riego: Examen-Junio-2025.pdf
He publicado nuevos apuntes de 2º Motores y Maquinaria Agrícola: T13MecanizacionGanaderaGuiadeEstudio-1.pdf
He publicado nuevos apuntes de 2º Motores y Maquinaria Agrícola: T12MaquinariaEsencialdeJardineria.pdf
He publicado nuevos apuntes de 2º Motores y Maquinaria Agrícola: T11MaquinariaCargaTransporteConservacion.pdf
He publicado nuevos apuntes de 2º Motores y Maquinaria Agrícola: T10MaquinariaRecoleccionHortofruticolaGuiadeEstudio.pdf
He publicado nuevos apuntes de 2º Motores y Maquinaria Agrícola: T8MaquinariadeRecolecciondeGranoyAlgodon.pdf
He publicado nuevos apuntes de 2º Motores y Maquinaria Agrícola: T9MaquinariadeRecoleccionAnalisisyExamen.pdf
He publicado nuevos apuntes de 2º Motores y Maquinaria Agrícola: T7MaquinariaRecoleccionForrajesCampoAlmacen.pdf
He publicado nuevos apuntes de 2º Motores y Maquinaria Agrícola: T6EquiposAcondicionamientoyProtecciondeCultivos-1.pdf
He publicado nuevos apuntes de 2º Motores y Maquinaria Agrícola: T5MaquinariaSiembraPlantacionyTrasplante-1-2.pdf
He publicado nuevos apuntes de 2º Motores y Maquinaria Agrícola: T4MaquinariadeFertilizacion.pdf
He publicado nuevos examenes de 1º Edafología y Climatología: Examen-edafologia-2025.pdf
He publicado nuevos practicas de 2º Motores y Maquinaria Agrícola: Partes-del-motor.pdf
He publicado nuevos apuntes de 1º Estadística e Informática: tema-3-estadistica.pdf
He publicado nuevos apuntes de 1º Biología: BLOQUE-I-INTRODUCCION-Y-BIODIVERSIDAD-2.pdf
He publicado nuevos apuntes de 1º Biología: BLOQUE-I-INTRODUCCION-Y-BIODIVERSIDAD-1.pdf
He publicado nuevos apuntes de 1º Edafología y Climatología: TEJIDOS-VEGETALES-1-1.pdf
He publicado nuevos apuntes de 1º Biología: TEMA-2-Reino-Plantae-1.pdf
He publicado nuevos apuntes de 1º Estadística e Informática: tema-2-estadistica.pdf
He publicado nuevos apuntes de 1º Fundamentos de Matemáticas: tema-1-matematicas.pdf
Apréndelo todo sobre formulación orgánica e inorgánica, ejemplos de todos los niveles y teoría que te ayudará a entender mejor esta asignatura.
Apuntes sobre los microorganismos, perfectos para estudiar y repasar el temario. Apuntes detallados con ejemplos y fáciles de aprender.
Ejercicios de problemas de optimización de 1º y 2º de bachillerato, nivel de primer año de carrera. Perfectos para practicar antes de un examen, problemas resueltos paso a paso de todas las dificultades.
Ejercicios de derivadas para practicar. Nivel de 1º de bachillerato en adelante ( hasta primer año de carrera ) ejercicios perfectos para practicar con sus soluciones correspondientes.
Solucionario de los problemas de Inferencia Estadística de mi perfil. Comprueba los resultados y procedimientos con este PDF.
Problemas de Inferencia Estadística, nivel de 1º de bachillerato, 2º de bachillerato y primer año de carrera. excelentes para repasar lo aprendido o comenzar de 0. Disfruta de estos ejercicios.
Este es ABSOLUTAMENTE TODO el contenido de la asignatura de biología para 2º de bachillerato y el primer año de carrera. Teoría detallada y bien explicada con dibujos y ejemplos. Espero que te sirva y que la disfrutes.
apuntes
-
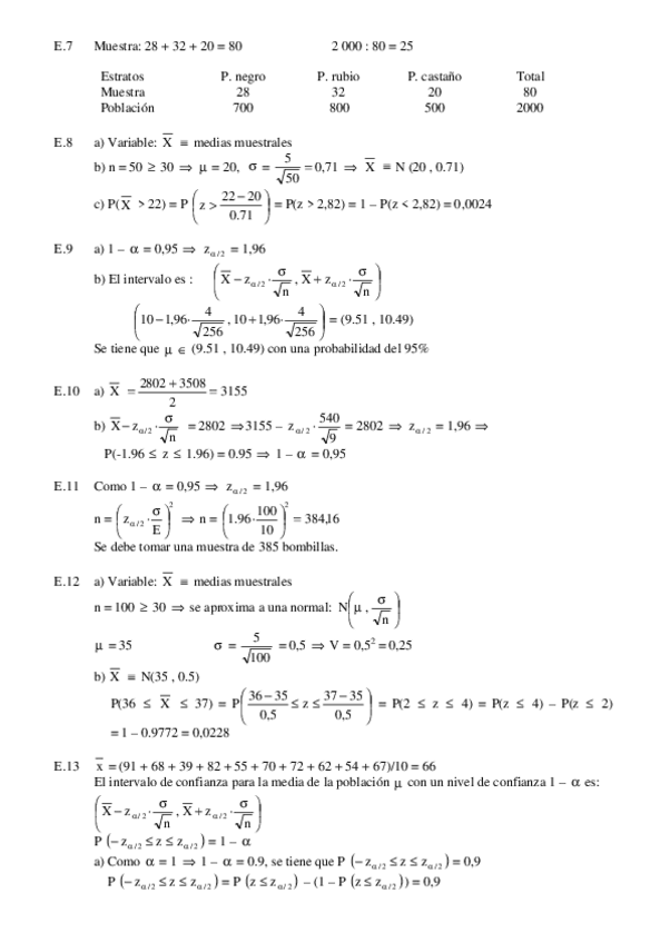
Tema 1 estadistica 1º Ingenieria Agricola UHU
He publicado nuevos apuntes de 1º Estadística e Informática: Tema 1 estadistica 1º Ingenieria Agricola UHU
examenes
-
Importante Exámenes
Ejercicios de examen y apuntes
EXAMEN ENERO 2025 FUNDAMENTOS DE QUÍMICA BLOQUE II
He publicado nuevos apuntes de 1º Fundamentos de Química: Tema-1.-Estructura-Atomica-2.pdf
He publicado nuevos apuntes de 1º Edafología y Climatología: Tema-1.-Clima-y-tiempo.pdf
He publicado nuevos apuntes de 1º Biología: BLOQUE-I-INTRODUCCION-Y-BIODIVERSIDAD-1.-CICLOS-BIOLOGICOS.pdf
He publicado nuevos apuntes de 1º Biología: BLOQUE-I-INTRODUCCION-Y-BIODIVERSIDAD-1.-CICLO-CELULAR.pdf
Tema 1: características de los seres vivos
He publicado nuevos examenes de 1º Química Analítica y Bioquímica: Examen-Agricola-9.pdf
He publicado nuevos examenes de 1º Química Analítica y Bioquímica: Examen-Agricola-8.pdf
He publicado nuevos examenes de 1º Química Analítica y Bioquímica: Examen-Agricola-7.pdf
He publicado nuevos examenes de 1º Química Analítica y Bioquímica: Examen-Agricola-6.pdf
He publicado nuevos examenes de 1º Química Analítica y Bioquímica: Examen-Agricola-5.pdf
He publicado nuevos examenes de 1º Química Analítica y Bioquímica: Examen-Agricola-4.pdf
He publicado nuevos examenes de 1º Química Analítica y Bioquímica: Examen-Agricola-2.pdf
He publicado nuevos examenes de 1º Química Analítica y Bioquímica: Examen-Agricola-1.pdf
He publicado nuevos examenes de 1º Química Analítica y Bioquímica: Preguntas-resueltas-examen-bioquimica.pdf
He publicado nuevos examenes de 1º Química Analítica y Bioquímica: Preguntas-resueltas-quimica-analitica.pdf
He publicado nuevos examenes de 2º Ciencia y Tecnología del Medio Ambiente: Cuestionarios-y-preguntas-resueltas-parte-ciencias.pdf
He publicado nuevos examenes de 2º Ciencia y Tecnología del Medio Ambiente: PREGUNTAS-EXAMEN-PARTE-TECNOLOGIA.pdf