
Bachelor´s degree in Bioinformatics (UPC)
Barcelona
Asignaturas de Bachelor´s degree in Bioinformatics (UPC)
Asignatura
arrow_downward3º
•
0 posts
1º
•
7 posts
2º
•
0 posts
3º
•
0 posts
3º
•
0 posts
1º
•
6 posts
2º
•
2 posts
1º
•
0 posts
2º
•
0 posts
2º
•
0 posts
1º
•
5 posts
3º
•
2 posts
1º
•
1 posts
1º
•
17 posts
1º
•
1 posts
2º
•
0 posts
3º
•
0 posts
3º
•
0 posts
1º
•
1 posts
2º
•
1 posts
3º
•
0 posts
2º
•
0 posts
1º
•
4 posts
1º
•
0 posts
3º
•
0 posts
2º
•
4 posts
1º
•
11 posts
2º
•
0 posts
3º
•
0 posts
3º
•
0 posts
3º
•
0 posts
2º
•
0 posts
3º
•
0 posts
3º
•
0 posts
Últimas publicaciones de Bachelor´s degree in Bioinformatics (UPC)
He publicado nuevos apuntes de 1º Introduccion a la bioinformatica: IB-FULL-COURSE-SUMMARIES-DIGITAL.pdf
He publicado nuevos examenes de 2º Matematicas discretas y optimizacion: DMO-MIDTERM-EXAM-WITH-SOLUTIONS.pdf
He publicado nuevos examenes de 2º Matematicas discretas y optimizacion: DMO-MIDTERM-EXAM.pdf
He publicado nuevos apuntes de 1º Álgebra: ALGEBRA-FULL-COURSE-SUMMARIES-DIGITAL.pdf
He publicado nuevos apuntes de 2º Matematicas discretas y optimizacion: DMO-MIDTERM-SUMMARIES-DIGITAL.pdf
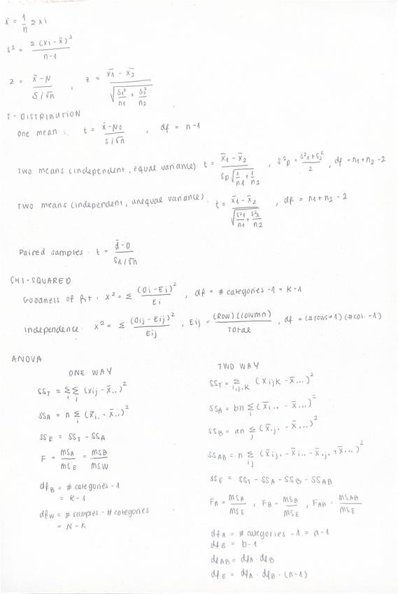
classical linear regression, logistic regression, generalised linear models
He publicado nuevos apuntes de 2º Matematicas discretas y optimizacion: DMO-MIDTERM-SUMMARIES.pdf
ejercicios
-
Solved Functions
He publicado nuevos ejercicios de 1º Programacion y algoritmos I: Solved Functions
ejercicios
-
Solved exercises More Loops
He publicado nuevos ejercicios de 1º Programacion y algoritmos I: Solved exercises More Loops
apuntes
-
Solved exercises First Loops
He publicado nuevos apuntes de 1º Programacion y algoritmos I: Solved exercises First Loops
He publicado nuevos examenes de 1º Programacion y algoritmos I: Respostes-parcial.pdf
apuntes
-
Notes AP1
He publicado nuevos apuntes de 1º Programacion y algoritmos I: Notes AP1
apuntes
-
Notes POC
He publicado nuevos apuntes de 1º Elementos de fisicoquimica y quimica organica: Notes POC
apuntes
-
Notes
He publicado nuevos apuntes de 1º Introduccion a la bioinformatica: Notes
apuntes
-
Notes
He publicado nuevos apuntes de 1º Biología Celular y Fisiología: Notes
This mindmap does not contain all the information entirely, but gives a general idea of the pathway, substrates, enzymes and locations of the topic of nitrogen metabolism
This mindmap does not contain all the information entirely, but gives a general idea of the pathway, substrates, enzymes and locations of the topic of lipid metabolism
This mindmap does not contain all the information entirely, but gives a general idea of the pathway, substrates, enzymes and locations of the topic of oxidative metabolism
This mindmap does not contain all the information entirely, but gives a general idea of the pathway, substrates, enzymes and locations of the topic of carbohydrate metabolism
He publicado nuevos apuntes de 1º Biología Celular y Fisiología: CELL-BIOLOGY-T9-T10.pdf
He publicado nuevos apuntes de 1º Biología Celular y Fisiología: CELL-BIOLOGY-T5-T8.pdf
He publicado nuevos apuntes de 1º Biología Celular y Fisiología: CELL-BIOLOGY-T1-4.pdf
He publicado nuevos apuntes de 1º Cálculo: Calculus-Midterm-Summaries.pdf
He publicado nuevos apuntes de 1º Bioquímica: 1.-Protein-structure.pdf
He publicado nuevos apuntes de 1º Genetica y genomica: Genetic-Analysis.pdf
apuntes
-
BioMol paper notes
He publicado nuevos apuntes de 1º Biología Molecular: BioMol paper notes
He publicado nuevos apuntes de 2º Genomica comparativa y funcional: summaryCFG.pdf
He publicado nuevos apuntes de 1º Bioquímica: 5.-Protein-synthesis-and-degradation.pdf
He publicado nuevos apuntes de 1º Introduccion a la bioinformatica: IB-R-EXAM 2024-25.pdf
He publicado nuevos examenes de 1º Álgebra: ALG-FINAL-SOLVED 2024 -25.pdf
He publicado nuevos examenes de 1º Álgebra: ALG-MIDTERM-SOLVED 2024-25.pdf
He publicado nuevos apuntes de 1º Álgebra: Algebra-full-course-summaries.pdf
He publicado nuevos apuntes de 1º Introduccion a la bioinformatica: Intro-to-bioinformatics-full-course-summaries.pdf
He publicado nuevos apuntes de 1º Elementos de fisicoquimica y quimica organica: Chemistry-full-course-summaries.pdf
He publicado nuevos apuntes de 1º Programacion y algoritmos I: final-notes-progra.pdf
He publicado nuevos apuntes de 1º Programacion y algoritmos I: Assorted-traversal-problems.pdf
He publicado nuevos apuntes de 1º Programacion y algoritmos I: Linear-search.pdf
He publicado nuevos apuntes de 1º Programacion y algoritmos I: Functions-with-Traversal-Loops-on-Strings.pdf
He publicado nuevos apuntes de 1º Programacion y algoritmos I: Functions-with-Loops-on-Integer-Related-Types.pdf
He publicado nuevos apuntes de 1º Programacion y algoritmos I: Nonloopy-FunctionsTEST1.pdf
He publicado nuevos examenes de 1º Aspectos de la Quimica Fisica Organica: 2022part1.pdf
He publicado nuevos examenes de 1º Aspectos de la Quimica Fisica Organica: 2022part2.pdf
He publicado nuevos examenes de 1º Aspectos de la Quimica Fisica Organica: APOC2021FINALSOLVED.pdf
He publicado nuevos ejercicios de 1º Aspectos de la Quimica Fisica Organica: Acid-Base-Exercises-solved.pdf
He publicado nuevos examenes de 1º Aspectos de la Quimica Fisica Organica: solvedmidterm.pdf
He publicado nuevos examenes de 1º Aspectos de la Quimica Fisica Organica: solvedfinalexam.pdf