Grado en Matemáticas (UV)
Burjassot
Asignaturas de Grado en Matemáticas (UV)
Asignatura
arrow_downward1º
•
173 posts
2º
•
95 posts
4º
•
2 posts
4º
•
10 posts
4º
•
25 posts
1º
•
190 posts
2º
•
221 posts
3º
•
78 posts
4º
•
75 posts
3º
•
34 posts
4º
•
39 posts
3º
•
54 posts
2º
•
90 posts
3º
•
64 posts
1º
•
68 posts
3º
•
62 posts
2º
•
81 posts
1º
•
95 posts
4º
•
0 posts
4º
•
8 posts
3º
•
166 posts
1º
•
51 posts
1º
•
65 posts
1º
•
64 posts
1º
•
126 posts
4º
•
0 posts
4º
•
0 posts
4º
•
0 posts
2º
•
89 posts
4º
•
10 posts
3º
•
23 posts
4º
•
10 posts
4º
•
0 posts
3º
•
51 posts
2º
•
115 posts
4º
•
13 posts
4º
•
11 posts
4º
•
0 posts
2º
•
134 posts
4º
•
4 posts
4º
•
1 posts
Últimas publicaciones de Grado en Matemáticas (UV)
He publicado nuevos apuntes de 2º Análisis Matemático II: TEMA1LaintegraldeLebesgueenRn.pdf
apuntes
-
Practicas
He publicado nuevos apuntes de 2º Ecuaciones Diferenciales Ordinarias: Practicas
Última práctica del primer bloque de Análisis III completa. Todo lo que necesitas saber sobre la práctica de Fourier está aquí
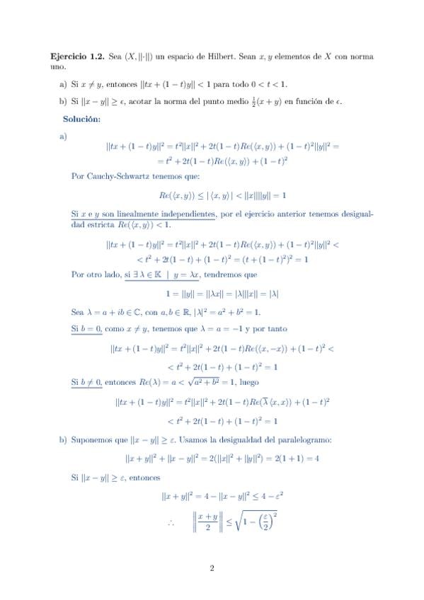
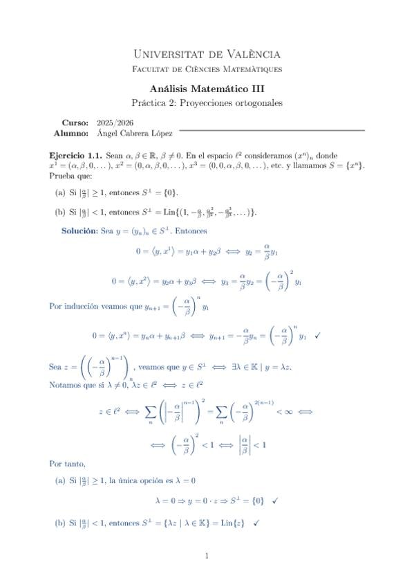
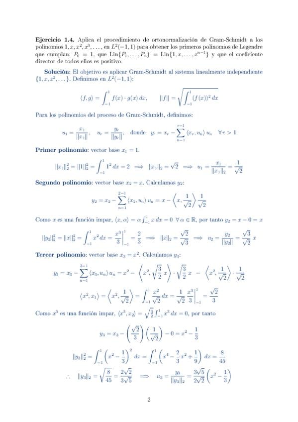
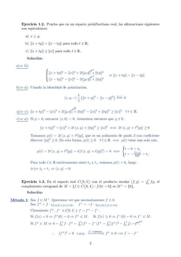
Práctica 2 de Análisis Matemático III redactado completamente en Latex. Faltan solo un par de ejercicios que se dejaron como deber. Todo lo demás está completamente detallado para facilitar la comprensión.
Práctica 1 de Análisis III, ejercicios completos y redactados en Latex. Todo lo que necesitas saber sobre convergencia y sobre espacios prehilbertianos está aquí.
Apuntes de las clases de Análisis Matemático III tomados directamente a Latex. Espero que os sirvan de ayuda y que saquéis mucha nota en el examen
He publicado nuevos apuntes de 2º Ecuaciones Diferenciales Ordinarias: Demostraciones-EDO-temas-1-2.pdf
apuntes
-
Teoria segundo cuatri
He publicado nuevos apuntes de 2º Análisis Matemático II: Teoria segundo cuatri
He publicado nuevos apuntes de 3º Estadística Matemática: Ejercicios-T2.pdf
apuntes
-
Cuestionarios - EDO
Algunos cuestionarios sobre las prácticas
practicas
-
Prácticas - EDO
Prácticas revisadas por errores de las anteriores
He publicado nuevos apuntes de 2º Análisis Matemático II: TEMA2Teoremesdeconvergencia.pdf
apuntes
-
Apuntes 2do Cuatri JJ
He publicado nuevos apuntes de 2º Análisis Matemático II: Apuntes 2do Cuatri JJ
apuntes
-
Cuestionarios
He publicado nuevos apuntes de 2º Ecuaciones Diferenciales Ordinarias: Cuestionarios
apuntes
-
Prácticas RMarkdown
el r-markdown nunca cae en decadencia, no como cierto equipo con peter lim y el hermano de alguna
examenes
-
Controles
He publicado nuevos examenes de 3º Estadística Matemática: Controles
practicas
-
Practicas
He publicado nuevos practicas de 3º Estadística Matemática: Practicas
Algunos ejercicios de la práctica 1 de EDP hechos a LaTeX. ¡Espero que os sirvan de ayuda en el control y en el examen!
He publicado nuevos apuntes de 2º Ecuaciones Diferenciales Ordinarias: T3-SistemS-EDO.pdf
He publicado nuevos apuntes de 1º Álgebra Lineal y Geometría I: Algebra-tema-5.pdf
apuntes
-
Apuntes tablet - 2c
lo único verdaderamente constante en esta vida es un booleano sobre si paco sigue siendo profe y da 1
apuntes
-
Apuntes tablet
de manera riguROSA (Donat, pero en hombre)
apuntes
-
Apuntes tablet
la única distribución sin fórmula es la de los profes para sentarnos en exámenes
apuntes
-
Apuntes tablet
análisis 3 (de 4), nunca fueron buenas las secuelas
Tema: Corbes en el pla i EDO associades/Professor: David Zorio/ Grup: Valencià
apuntes
-
Teoria segundo cuatri
He publicado nuevos apuntes de 3º Geometría Diferencial Clásica: Teoria segundo cuatri
apuntes
-
Topología teoria segundo cuatri
He publicado nuevos apuntes de 2º Topología: Topología teoria segundo cuatri
Totes les proposicions del tema 6 d'àlgebra lineal: semblança i valors propis
He publicado nuevos practicas de 1º Análisis Matemático I: PRACTICA.-5-ANALISIS-Practica-4-segunda-parte.pdf
He publicado nuevos practicas de 1º Matemática Discreta: Practica-2-2026.pdf
He publicado nuevos practicas de 1º Matemática Discreta: Practica-1-2026.pdf
He publicado nuevos apuntes de 3º Ecuaciones Algebraicas: Apuntes-Ecal-LaTeX.pdf
Exámenes separados por bloques, muy muy útil para aprobar la parte teórica de la asignatura.
He publicado nuevos apuntes de 1º Física: Apuntes-examen-teorico-fisica.pdf
He publicado nuevos apuntes de 1º Herramientas Informáticas: Apuntes-eines.pdf
He publicado nuevos apuntes de 2º Ecuaciones Diferenciales Ordinarias: teoria-EDO.pdf
practicas
-
Prácticas 2o cuatri
He publicado nuevos practicas de 2º Análisis Matemático II: Prácticas 2o cuatri
He publicado nuevos ejercicios de 2º Análisis Matemático II: Guia-Introductoria-de-Integrabilidad.pdf
He publicado nuevos ejercicios de 2º Análisis Matemático II: Guia-Introductoria-de-Integrales-Indefinidas.pdf
He publicado nuevos ejercicios de 2º Análisis Matemático II: Guia-Introductoria-de-Integracion-por-partes.pdf
He publicado nuevos ejercicios de 2º Análisis Matemático II: Guia-Introductoria-de-Cambio-de-Variables.pdf
He publicado nuevos ejercicios de 2º Análisis Matemático II: Guia-Introductoria-de-Reduccion-a-Integral-de-Riemann-y-Funcion-Escalon.pdf
He publicado nuevos ejercicios de 2º Análisis Matemático II: Guia-Introductoria-de-Teoremas-de-Comparacion-y-Condicion-de-Riemann.pdf
He publicado nuevos ejercicios de 2º Análisis Matemático II: Guia-Introductoria-del-Teorema-Fundamental-del-Calculo.pdf
He publicado nuevos ejercicios de 2º Análisis Matemático II: Guia-Introductoria-de-Teorema-del-Valor-Medio-Integral.pdf
He publicado nuevos ejercicios de 2º Análisis Matemático II: Guia-Introductoria-de-Integracion-en-Dominios-por-Tramos.pdf
He publicado nuevos ejercicios de 2º Análisis Matemático II: Guia-Introductoria-de-Calculo-de-Areas.pdf
He publicado nuevos ejercicios de 2º Análisis Matemático II: Guia-Introductoria-de-Longitud-de-Arco.pdf
He publicado nuevos ejercicios de 2º Análisis Matemático II: Guia-Introductoria-de-Calculo-de-Volumenes.pdf
He publicado nuevos ejercicios de 2º Análisis Matemático II: Guia-Introductoria-de-Calculo-de-Momentos-y-Centroides.pdf
He publicado nuevos ejercicios de 2º Análisis Matemático II: Guia-Introductoria-de-Integrales-Impropias.pdf
He publicado nuevos ejercicios de 2º Análisis Matemático II: Guia-Introductoria-de-Series.pdf
