
Asignaturas de Grado en Economía (UVIGO)
Asignatura
arrow_downward4º
•
1 posts
1º
•
11 posts
4º
•
1 posts
2º
•
36 posts
1º
•
10 posts
2º
•
5 posts
3º
•
3 posts
3º
•
0 posts
4º
•
0 posts
4º
•
7 posts
3º
•
1 posts
2º
•
6 posts
3º
•
7 posts
4º
•
1 posts
4º
•
0 posts
3º
•
10 posts
1º
•
27 posts
1º
•
94 posts
1º
•
67 posts
1º
•
11 posts
1º
•
24 posts
2º
•
15 posts
1º
•
12 posts
2º
•
8 posts
4º
•
0 posts
1º
•
48 posts
4º
•
0 posts
3º
•
6 posts
3º
•
12 posts
2º
•
17 posts
1º
•
36 posts
4º
•
2 posts
2º
•
58 posts
2º
•
43 posts
3º
•
7 posts
3º
•
9 posts
4º
•
13 posts
4º
•
1 posts
4º
•
0 posts
Últimas publicaciones de Grado en Economía (UVIGO)
He publicado nuevos ejercicios de 4º Teoria de Juegos: prob-tema-2-sol.pdf
He publicado nuevos ejercicios de 4º Teoria de Juegos: prob-tema-1-solucions.pdf
He publicado nuevos apuntes de 3º Economía de los Servicios Públicos: PUBLIC-FINANCE-middle-term.pdf
He publicado nuevos apuntes de 4º Economía Internacional: International-economy.pdf
He publicado nuevos apuntes de 3º Políticas Económicas Comparadas: POLITICA-ECONOMICA-tema-6-10.pdf
He publicado nuevos apuntes de 3º Políticas Económicas Comparadas: politica-economica-tema-1-5.pdf
He publicado nuevos ejercicios de 3º Macroeconomía I: Boletin4Tema3-2ISLM-2024-25-1.pdf
He publicado nuevos ejercicios de 3º Macroeconomía I: Boletin3Tema3-1MercadoBens-2024-25-1.pdf
He publicado nuevos ejercicios de 3º Macroeconomía I: Boletin2Tema2MercadoFinanceiro-2024-25.pdf
He publicado nuevos ejercicios de 3º Macroeconomía I: Boletin1Tema1-2024-25.pdf
He publicado nuevos examenes de 2º Matemáticas II: xaneiroECO2entregaFinal.pdf
He publicado nuevos examenes de 2º Economía Española: examen-final-preparatorio.pdf
He publicado nuevos examenes de 1º Economía: Economía Mundial: examenes-202324.pdf
He publicado nuevos examenes de 3º Macroeconomía II: test-examenes-2025.pdf
He publicado nuevos examenes de 2º Microeconomía II: tipo-test-examenes-anteriores.pdf
He publicado nuevos examenes de 1º Economía: Principios de Economía Ii: test-examenes-2025.pdf
He publicado nuevos apuntes de 2º Contabilidad: EXAMEN-TEORICO-CONTABILIDAD-MAYO-2017-respuestas.pdf
Apuntes incompletos (preguntas sin respuesta en el Tema 7 y 8) en forma pregunta respuesta, se puede usar para estudiar con tarjetas en Anki o similares.
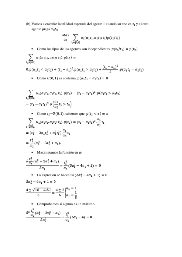
2º Parcial de Teoría de Juegos con soluciones cortas, curso 2023/24
Examen Final de Teoría de Juegos con soluciones cortas, curso 2023/24
1º Parcial de Teoría de Juegos con soluciones cortas, curso 2023/24
examenes
-
TODOS LOS CONTROLES DE MICROECONOMIA I
He publicado nuevos examenes de 2º Microeconomía I: TODOS LOS CONTROLES DE MICROECONOMIA I
apuntes
-
EXAMENES Y PARCIALES DE POLITICAS ECONOMICAS COMPARADAS
He publicado nuevos apuntes de 3º Políticas Económicas Comparadas: EXAMENES Y PARCIALES DE POLITICAS ECONOMICAS COMPARADAS
He publicado nuevos apuntes de 3º Economía Industrial: Control-2-Soluciones.pdf
He publicado nuevos examenes de 3º Economía Industrial: Control-1-Soluciones.pdf
He publicado nuevos apuntes de 3º Política Económica: El-BCE-y-el-problema-de-la-independencia-de-la-banca-central..pdf
Analisis estratégico completo de la empresa SELMARK
He publicado nuevos trabajos de 2º Economía Española: LA-EVOLUCION-DE-LA-RENTA-Y-LA-RIQUEZA-ESPANOLA..pdf
apuntes
-
TRABAJO COMERCIO INTERNACIONAL: PROTECCIONISMO VS LIBRE COMERCIO
NOTA: 10
TFG: Análisis de la pobreza infantil en España entre 2008 y 2018 Evolución, causas y políticas
Acabo de subir el tema 2 de Principios de Economía https://wuolah.com/apuntes/economia-principios-de-economia-i/10926239?utm_source=wuolah&utm_medium=referral&utm_content=document&utm_campaign=share-copy&utm_term=modal-share-copy
He publicado nuevos apuntes de 1º Economía: Principios de Economía i: Tema-2-Pensando-como-un-economista.pdf
Acabo de subir un ejercicio resuelto de técnicas de Economía Aplicada https://wuolah.com/apuntes/economia-tecnicas-de-economia-aplicada/10917616?utm_source=wuolah&utm_medium=referral&utm_content=document&utm_campaign=share-copy&utm_term=modal-share-copy
He publicado nuevos apuntes de 1º Economía: Técnicas de Economía Aplicada: Ejercicio-de-renta-nacional-del-tema-2.pdf
Acabo de subir apuntes de Historia Económica. Os recomendaría ir a revisarlos ya que son cosas clave
He publicado nuevos apuntes de 1º Historia: Historia Económica: Como-resolver-la-escasez-y-como-crece-una-economia.pdf