MJ07_
Parciales 1 y 3 17-18 resueltos
solución-prueba3-grupoC-2018.pdf
4 páginas
solución-prueba1-grupoE-2017.pdf
5 páginas
solución-prueba1-grupoC-2017.pdf
solución-prueba3-grupoE-2018.pdf
Exámenes - ALG1 2º parcial resuelto.pdf
pdf
13 páginas
33
0
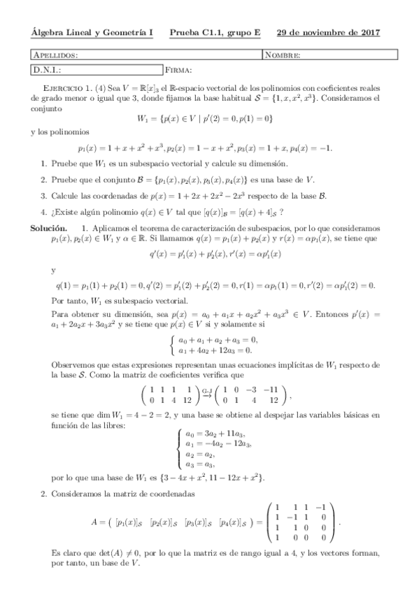
Exámenes - solución-prueba1-grupoE-2017.pdf
39
Exámenes - RESUELTOS-Examenes-.pdf
54 páginas
40
Exámenes - solución-prueba3-grupoC-2018.pdf
42
Apuntes - Tema-6.-Lineal.pdf
12 páginas
19
1
Exámenes - 2018-19aligeoI-Prueba01.pdf
6 páginas
38
Apuntes - ALGEjerciciosResueltos5.pdf
32 páginas
44
Exámenes - solución-prueba3-grupoE-2018.pdf
Ejercicios - pdf-ejercicios-1-5.pdf
16 páginas
Exámenes - solución-prueba1-grupoC-2017.pdf
32
Exámenes - 2016_parcial-2.pdf
2 páginas
18
Exámenes - ALGCuartoParcialResuelto.pdf
8 páginas
14
Ejercicios - ALG-LINEAL-ejercicios-t11.pdf
9 páginas
17
Ejercicios - ALG-LINEAL-ejercios-t10.pdf
14 páginas
21
Apuntes - Apuntes 1.pdf
45 páginas
Apuntes - Esquema-temas-4-5.pdf
13
Apuntes - Apuntes-T1-ALG1.pdf
3 páginas
24
Apuntes - ALGEjerciciosResueltos1.pdf
11 páginas
23
Apuntes - Algebra-Lineal-y-Geometria-I-Primer-Cuatrimestre.pdf
44 páginas
25
Ejercicios - ALG-LINEAL-ejercicios-t13.pdf
12