@MJ07_

Estudios: Grado en Matemáticas (US) ...Mostrar más

324 Publicaciones

15.19k Interacciones

5 Seguidores

1 Siguiendo

Lista de publicaciones de MJ07_

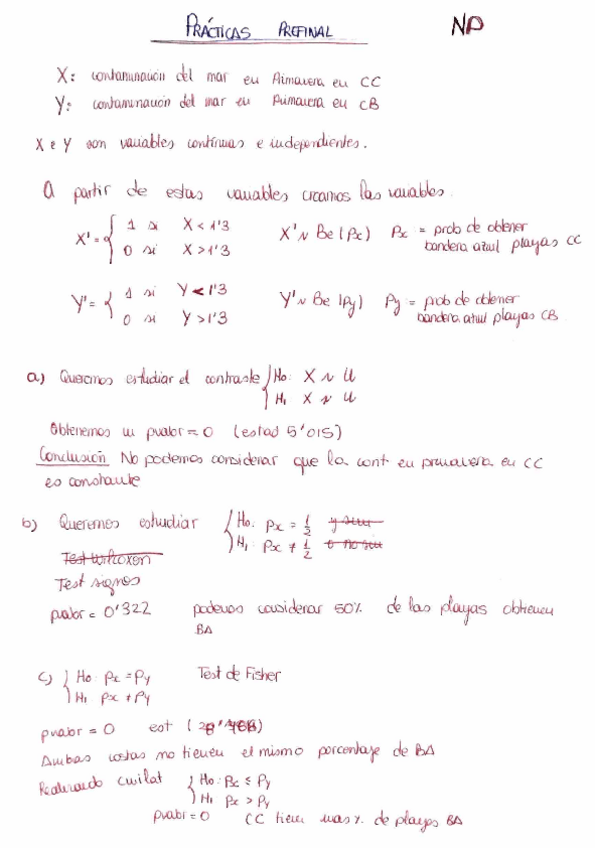
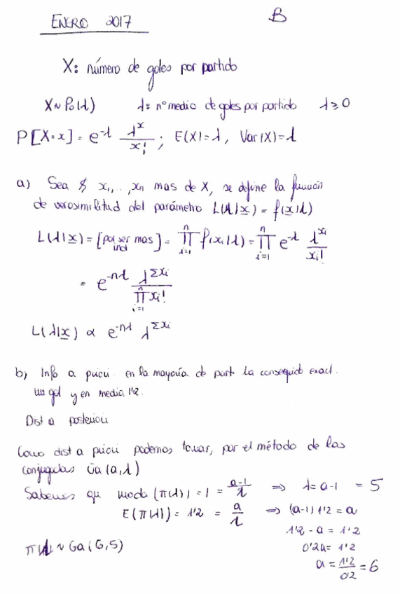
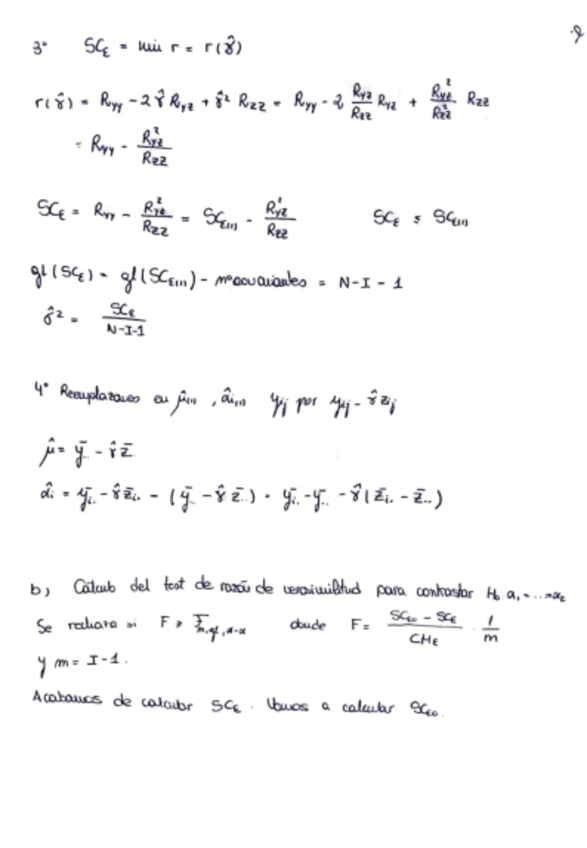
He publicado nuevos examenes de 3º Ampliación de Inferencia Estadística: practicasNP.pdf

8 páginas

He publicado nuevos apuntes de 5º Fiabilidad y Control de Calidad: muestreoAceptacion.pdf

3 páginas

He publicado nuevos apuntes de 5º Fiabilidad y Control de Calidad: inspeccVariables.pdf

11 páginas

He publicado nuevos apuntes de 5º Fiabilidad y Control de Calidad: inspeccAtributos.pdf

22 páginas

He publicado nuevos apuntes de 5º Fiabilidad y Control de Calidad: ensayosdurvida.pdf

32 páginas

examenes

-

Examenes segundo parcial

He publicado nuevos examenes de 4º Geometría Aplicada: Examenes segundo parcial

2parcial1718.pdf
2parcial1516.pdf
2oarcial1819.pdf
2parcial1617.pdf

apuntes

-

Inferencia NO paramétrica

He publicado nuevos apuntes de 3º Ampliación de Inferencia Estadística: Inferencia NO paramétrica

bondadajuste.pdf
estpoblaciones.pdf
localizacion.pdf
teoriaExamen.pdf

apuntes

-

Inferencia Bayesiana

He publicado nuevos apuntes de 3º Ampliación de Inferencia Estadística: Inferencia Bayesiana

tema4y5.pdf
tema2.pdf
tema3.pdf
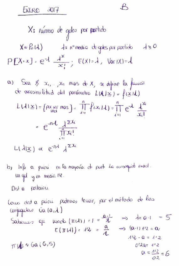
exbaye.pdf

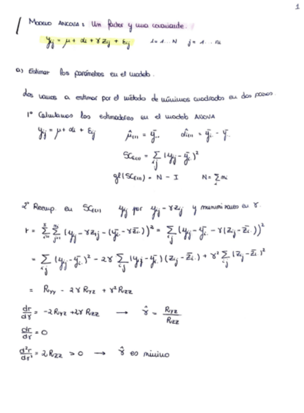
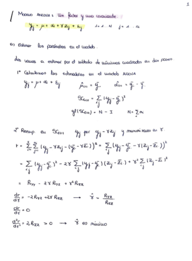
He publicado nuevos trabajos de 5º Fiabilidad y Control de Calidad: TrabajoFYCOC.pdf

3 páginas

ejercicios

-

Ejercicios diferentes temas

He publicado nuevos ejercicios de 5º Estadística Computacional II: Ejercicios diferentes temas

2EjerREGRESION.pdf
Ejercicios.pdf
2cuestionesexx.pdf
1ejercicios.pdf
3EjerAPrendPROFUNDO.pdf

He publicado nuevos ejercicios de 4º Diseño de Experimentos: ejertema6DEX.pdf

pdf

apuntes

-

Teoria 2 parcial

He publicado nuevos apuntes de 4º Diseño de Experimentos: Teoria 2 parcial

Tema4DEX.pdf
tema6DEX.pdf
tema5-DEX.pdf

practicas

-

Ejercicios de Prácticas

He publicado nuevos practicas de 4º Diseño de Experimentos: Ejercicios de Prácticas

ejerT3.pdf
ejerT4.pdf

apuntes

-

Apuntes Teoria Primer Cuatrimestre

He publicado nuevos apuntes de 4º Bases de Datos: Apuntes Teoria Primer Cuatrimestre

Diseno-Logico.pdf
Algebra-Relacional.pdf
Introduccion-a-base-de-datos.pdf
Introduccion-a-SQL.pdf
Diseno-conceptual-de-bases-de-datos.pdf

examenes

-

Informes Exámenes prácticas 19/20

He publicado nuevos examenes de 3º Modelos Lineales y Diseño de Experimentos: Informes Exámenes prácticas 19/20

PrimerParcial.pdf
2Parcial.pdf

apuntes

-

Códigos R

He publicado nuevos apuntes de 4º Ampliación de Investigación Operativa: Códigos R

Teoria-de-juegos.pdf
Creacion-de-grafos.pdf

He publicado nuevos ejercicios de 3º Modelos Lineales y Diseño de Experimentos: practicas.pdf

11 páginas

apuntes

-

Teoría completa curso 19/20

He publicado nuevos apuntes de 3º Modelos Lineales y Diseño de Experimentos: Teoría completa curso 19/20

Bloque-2.pdf
Bloque-1.pdf