Álgebra Lineal y Geometría II

chevron_left
chevron_right
Todo
Apuntes
Ejercicios
Exámenes
Prácticas
chevron_left
chevron_right

practicas

-

Prácticas - ALG II

He publicado nuevos practicas de 2º Álgebra Lineal y Geometría II: Prácticas - ALG II

Practica-1-ALG-II.pdf
Practica-2-ALG-II.pdf
Practica-3-ALG-II.pdf
Practica-4-ALG-II.pdf
Practica-5-ALG-II.pdf
Practica-6-ALG-II.pdf

examenes

-

Controles - ALG II

He publicado nuevos examenes de 2º Álgebra Lineal y Geometría II: Controles - ALG II

Control-2024-ALG-II.pdf
Control-2025-ALG-II.pdf
Control-1-2026-ALG-II.pdf

He publicado nuevos examenes de 2º Álgebra Lineal y Geometría II: 2juny2025.pdf

2 páginas

He publicado nuevos apuntes de 2º Álgebra Lineal y Geometría II: teoremesalgebraII.pdf

16 páginas

He publicado nuevos apuntes de 2º Álgebra Lineal y Geometría II: T3-TeoriaEndo.pdf

4 páginas

He publicado nuevos apuntes de 2º Álgebra Lineal y Geometría II: T2-MATRICES-SOBRE-Kx.pdf

5 páginas

practicas

-

Prácticas

He publicado nuevos practicas de 2º Álgebra Lineal y Geometría II: Prácticas

Practica3.pdf
Practica4.pdf
Practica5.pdf
Practica6.pdf
errores-practica3.pdf
errores-practica4.pdf

apuntes

-

Apuntes

He publicado nuevos apuntes de 2º Álgebra Lineal y Geometría II: Apuntes

Tema-0-Introduccion.pdf
Tema-1--Preliminares.pdf
Tema-3-Teoria-del-endomorfismo.pdf
Tema-4-Congruencia-ortogonal-de-matrices-simetricas-y-ortogonales.pdf
Tema-2-Matrices-sobre-el-anillo.pdf
Lista-Teoremas.pdf

He publicado nuevos apuntes de 2º Álgebra Lineal y Geometría II: Examen-Algebra-Lineal-II.pdf

2 páginas

He publicado nuevos apuntes de 2º Álgebra Lineal y Geometría II: Control-de-Algebra-Lineal-II.pdf

1 página

apuntes

-

Teoría separada por temas

Docu completo en Apuntes Álgebra 2

Tema-3.pdf
Tema-2.pdf
Tema-1.pdf
Tema-4-Alg-T.pdf
Tema5.1T.pdf
Temas5.26T.pdf

apuntes

-

Apuntes Álgebra 2

Porque al final del día, todos los errores son fácilmente subsanables

ejsalg (completo).pdf
putalg (completo).pdf
prac7alg.pdf
claserepasalg.pdf
EXAMENES.docx

apuntes

-

Temario cuaderno por temas

He publicado nuevos apuntes de 2º Álgebra Lineal y Geometría II: Temario cuaderno por temas

intro-hinva.pdf
iso-finT5a.pdf
hinv-isoa.pdf

apuntes

-

Resumen Diagonalización, Polinomio mínimo y Formas de Jordan

He publicado nuevos apuntes de 2º Álgebra Lineal y Geometría II: Resumen Diagonalización, Polinomio mínimo y Formas de Jordan

Resumen.pdf

examenes

-

Exámenes Geometría lineal

He publicado nuevos examenes de 2º Álgebra Lineal y Geometría II: Exámenes Geometría lineal

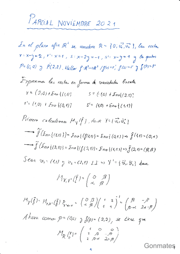
Parcial-noviembre-2021.pdf
Final-2017-julio.pdf
Final-Junio-2020.pdf
Parcial-2011-Noviembre.pdf
Parcial-2012-octubre.pdf
Parcial-2016.pdf

apuntes

-

Apuntes Geometría Lineal

He publicado nuevos apuntes de 2º Álgebra Lineal y Geometría II: Apuntes Geometría Lineal

Resumen.pdf
Clasificacion-de-movimientos.pdf

ejercicios

-

Ejercicios Geometría lineal

He publicado nuevos ejercicios de 2º Álgebra Lineal y Geometría II: Ejercicios Geometría lineal

Tema-1-Espacios-afines.pdf
Tema-2-Afinidades.pdf
Tema-3-Espacios-afines-euclideos.pdf
Tema-4-Movimientos.pdf

examenes

-

Exámenes de Jordan

He publicado nuevos examenes de 2º Álgebra Lineal y Geometría II: Exámenes de Jordan

Ejercicios-de-examen-Formas-de-Jordan.pdf

ejercicios

-

Diagonalización de endomorfismos, polinomio mínimo, Formas de Jordan

He publicado nuevos ejercicios de 2º Álgebra Lineal y Geometría II: Diagonalización de endomorfismos, polinomio mínimo, Formas de Jordan

Tema-1-Diagonalizacion-de-endomorfismos.pdf
Tema-2-Polinomio-minimo-y-descomposicion-primaria.pdf
Tema-3-Forma-canonica-de-Jordan-de-f-nilpotente.pdf
Tema-4-Forma-canonica-de-Jordan-para-f.pdf

He publicado nuevos practicas de 2º Álgebra Lineal y Geometría II: P4-ALG-II-p.pdf

10 páginas

He publicado nuevos examenes de 2º Álgebra Lineal y Geometría II: 14-junio-2018.pdf

10 páginas

Examen con soluciones

12 páginas

Examen con soluciones

12 páginas

Examen con soluciones

12 páginas

Examen con soluciones

12 páginas

ejercicios

-

Prácticas

He publicado nuevos ejercicios de 2º Álgebra Lineal y Geometría II: Prácticas

Problemas-1-Tema-1.pdf
Problemas-2-Tema-1.pdf
Problemas-3-Tema-2.pdf
Problemas-5-T3.pdf
Problemas-4-Tema-3.pdf
Problemas-6-Tema-4.pdf

He publicado nuevos apuntes de 2º Álgebra Lineal y Geometría II: P3-ALG-II.pdf

9 páginas

He publicado nuevos apuntes de 2º Álgebra Lineal y Geometría II: T4-ALG-II-p.pdf

16 páginas

Aquí están todas las demostraciones que Maria Dolores ha dicho que entran para el examen. Las que no se resolvieron en clase las he tratado de realizar como buenamente he podido. Espero que os sean de provecho. ¡Mucho ánimo!

30 páginas

He publicado nuevos apuntes de 2º Álgebra Lineal y Geometría II: T3-ALG-II-p.pdf

20 páginas

He publicado nuevos practicas de 2º Álgebra Lineal y Geometría II: P2-ALG-II.pdf

10 páginas

He publicado nuevos practicas de 2º Álgebra Lineal y Geometría II: P1-ALG-II.pdf

4 páginas

He publicado nuevos apuntes de 2º Álgebra Lineal y Geometría II: T2-ALG-II.pdf

9 páginas

He publicado nuevos apuntes de 2º Álgebra Lineal y Geometría II: T1-ALG-II.pdf

15 páginas

He publicado nuevos examenes de 2º Álgebra Lineal y Geometría II: Examen-enero-Algebra-II.pdf

1 página

He publicado nuevos practicas de 2º Álgebra Lineal y Geometría II: MIX-de-ejercicios-importantes.pdf

17 páginas

He publicado nuevos practicas de 2º Álgebra Lineal y Geometría II: EjerciciosExamen.pdf

17 páginas

He publicado nuevos apuntes de 2º Álgebra Lineal y Geometría II: Guia-per-a-fer-practica-facil.pdf

2 páginas

Resumet de coses que se me fan bola

3 páginas

practicas

-

Pràctiques

He publicado nuevos practicas de 2º Álgebra Lineal y Geometría II: Pràctiques

Practica-1.pdf
Practica-2.pdf
Practica-3.pdf
Practica-4.pdf
Practica-5.pdf
Practica-6.pdf

Demos que van demanar pa l'examen esquematitzades

7 páginas

apuntes

-

Teoria

He publicado nuevos apuntes de 2º Álgebra Lineal y Geometría II: Teoria

Tema-1.pdf
Tema-2.pdf
Tema-3.pdf
Tema-4.pdf
Tema-5.pdf
Tema-6.pdf

He publicado nuevos apuntes de 2º Álgebra Lineal y Geometría II: Tema-5.pdf

3 páginas

He publicado nuevos apuntes de 2º Álgebra Lineal y Geometría II: Tema-4.pdf

5 páginas

He publicado nuevos apuntes de 2º Álgebra Lineal y Geometría II: Tema1Resumido.pdf

5 páginas

He publicado nuevos apuntes de 2º Álgebra Lineal y Geometría II: Tema2-3resumido.pdf

14 páginas

He publicado nuevos apuntes de 2º Álgebra Lineal y Geometría II: apunts-algebra-2-2Q.pdf

113 páginas

He publicado nuevos apuntes de 2º Álgebra Lineal y Geometría II: Resumet.pdf

19 páginas

He publicado nuevos apuntes de 2º Álgebra Lineal y Geometría II: Tema-3.pdf

6 páginas
Anónimo

@Anónimo

He publicado nuevos apuntes de 2º Álgebra Lineal y Geometría II: Tema-3.-Problemas-Descomposicion-de-V-via-h.-Formas-canonicas.pdf

3 páginas
Anónimo

@Anónimo

He publicado nuevos apuntes de 2º Álgebra Lineal y Geometría II: Tema-2.-Problemas-x-matrices.pdf

2 páginas
Anónimo

@Anónimo

He publicado nuevos apuntes de 2º Álgebra Lineal y Geometría II: Tema-2.-Problemas-Irreducibilidad-de-polinomios.pdf

3 páginas

He publicado nuevos apuntes de 2º Álgebra Lineal y Geometría II: Tema-2.pdf

8 páginas

He publicado nuevos apuntes de 2º Álgebra Lineal y Geometría II: Tema-0.pdf

6 páginas

He publicado nuevos apuntes de 2º Álgebra Lineal y Geometría II: Tema-1.pdf

4 páginas
Anónimo

@Anónimo

He publicado nuevos apuntes de 2º Álgebra Lineal y Geometría II: teoria-segunda-parte-algebra.pdf

18 páginas
Anónimo

@Anónimo

He publicado nuevos apuntes de 2º Álgebra Lineal y Geometría II: teoria-primera-parte-algebra.pdf

63 páginas

He publicado nuevos apuntes de 2º Álgebra Lineal y Geometría II: Tema3Congruenciaortogonaldematricessimetricasyortogonales.pdf

16 páginas
Anónimo

@Anónimo

apuntes

-

Apunts Teoria (ALG II)

He publicado nuevos apuntes de 2º Álgebra Lineal y Geometría II: Apunts Teoria (ALG II)

T.1-Preliminars-ALG-II.pdf
T.2-Teoria-De-Lendomorfisme-ALG-II.pdf

He publicado nuevos apuntes de 2º Álgebra Lineal y Geometría II: Tema1Preliminares.pdf

15 páginas