Ma_12345678
Diría que los ejercicios son del tema 2. El primer ejercicio es similar al ejemplo 5 El segundo es parecido al ejercicio 4
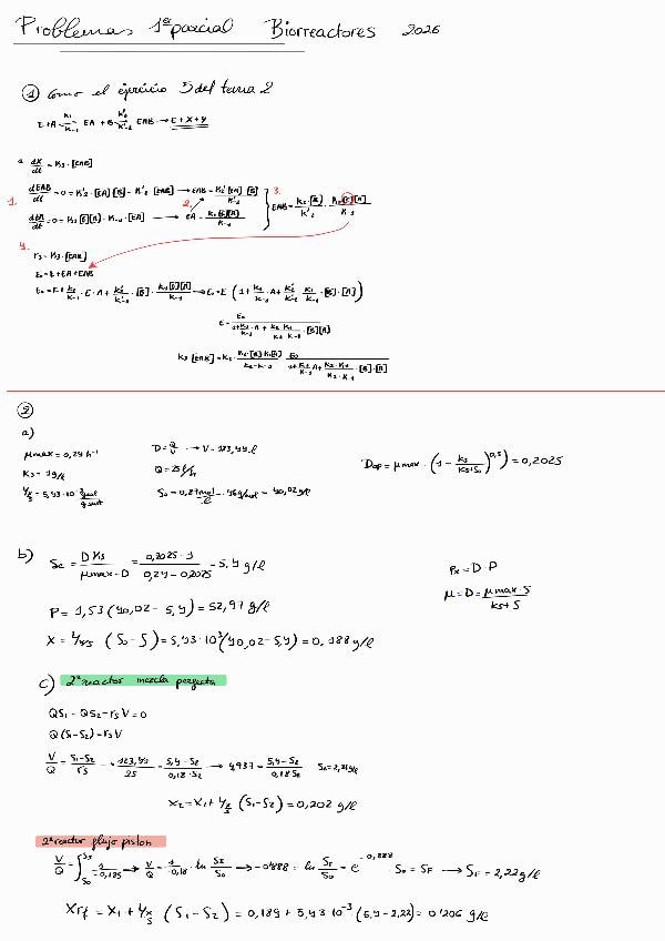
Biorreactores-ejercicios-corregidos-del-primer-parcial-2025-26.pdf
1 página
Exámenes - Ejers-tipo-examen.pdf
pdf
13 páginas
45
2
Apuntes - Tema-2-apuntes.pdf
10 páginas
29
0
Apuntes - TEMA-1-apuntes.pdf
9 páginas
26
Apuntes - Tema-5-apuntes.pdf
8 páginas
19
Apuntes - Tema-6-apuntes.pdf
6 páginas
20
Exámenes - Biorreactores-ejercicios-corregidos-del-primer-parcial-2025-26.pdf
Apuntes - Tema-4-apuntes.pdf
Exámenes - 1-Examen-parcial-202627-parte-de-teoria.pdf
2 páginas
6
Apuntes - tema-2-biorreactores.pdf
4
Apuntes - Tema6Esterilizacion.pdf
3 páginas
Apuntes - Tema5Aireacion.pdf
4 páginas
Apuntes - Tema4Agitacion.pdf
Apuntes - Tema3Tipos-de-operaciones-de-biorreactores-II.pdf
Apuntes - Tema2Cinetica-enzimatica-y-microbiana.pdf
5 páginas
Apuntes - Tema1Introduccion-al-diseno-de-biorreactores.pdf
1
Apuntes - Tema3Tipos-y-operacion-de-biorreactores-I.pdf
Apuntes - tema-1-biorreactores.pdf