@Ma_12345678

6 Publicaciones

43 Interacciones

2 Seguidores

0 Siguiendo

Lista de publicaciones de Ma_12345678

He publicado nuevos ejercicios de 2º Ingeniería de procesos biotecnológicos II: Ejercicios-Tema-5-procesos-2.pdf

8 páginas

He publicado nuevos apuntes de 2º Termodinámica y Cinética Química: Tipo-test-de-actividades-de-clase-de-termodinamica.pdf

6 páginas

He publicado nuevos ejercicios de 2º Ingeniería de procesos biotecnológicos II: Problemas-tema-2-procesos-2-2627.pdf

5 páginas

He publicado nuevos examenes de 3º Biorreactores: 1-Examen-parcial-202627-parte-de-teoria.pdf

2 páginas

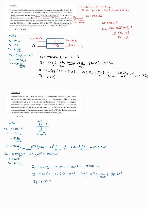
Diría que los ejercicios son del tema 2. El primer ejercicio es similar al ejemplo 5 El segundo es parecido al ejercicio 4

1 página

He publicado nuevos ejercicios de 2º Ingeniería de procesos biotecnológicos II: Problemas-Tema-1-procesos-2.pdf

4 páginas