chevron_left
chevron_right
Todo
Apuntes
Exámenes
Otros
Prácticas
chevron_left
chevron_right

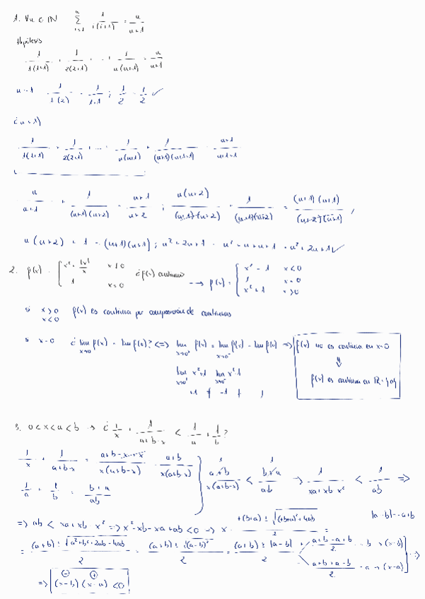
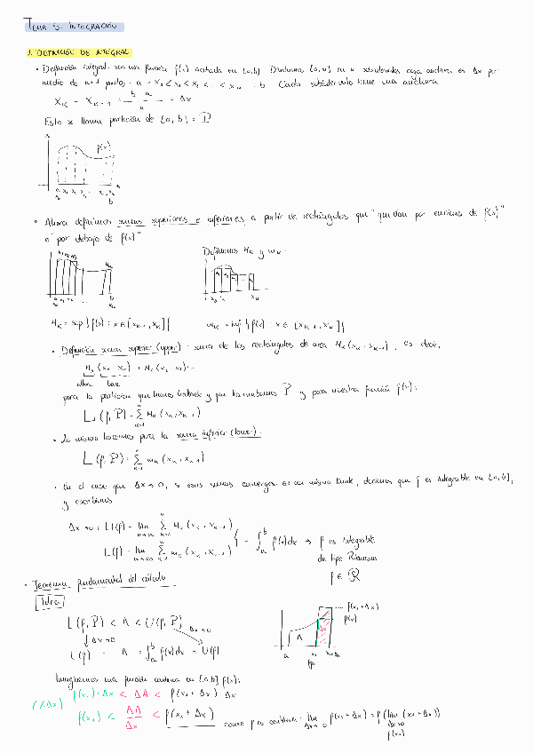
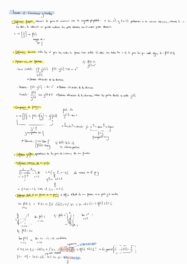
He publicado nuevos apuntes de 1º Cálculo I: Apuntes-Tema-5-Integracion.pdf

4 páginas

Derivación

1 página

Límites y Continuidad

2 páginas

Funciones de la Recta Real

2 páginas

La recta real

2 páginas

Conjuntos

1 página

examenes

-

Examenes resueltos

He publicado nuevos examenes de 1º Cálculo I: Examenes resueltos

Examen-extraordinaria-calculo-1.-Profesor-Jorge.pdf
Examen-ordinaria-calculo-1.-Profesor-jorge.pdf
Examenes-parciales-calculo-1.-Profesor-Jorge.pdf

otros

-

2324-IM-1-4932 - Cálculo I

Teoría (+Esquemas), Ejercicios, Demostraciones y Cuestionarios, Exámenes (+Soluciones)

4932-GD-Calculo-I-2023-24.pdf
A.-Esquemas-Temario.pdf
A.-Teoria-Tema-1-Los-Numeros-Reales.pdf
A.-Teoria-Tema-4-Criterio-de-la-primera-derivada.pdf
A.-Teoria-Tema-4-Teorema-de-Rolle-Teorema-del-Valor-Medio-etc..pdf
B.-Cuestionario-Tema-1-1-Numeros-Reales.pdf

apuntes

-

Cálculo I teoría + ejercicios

Apuntes de clase con ejercicios

Tema-1-Calculo-I.pdf
Tema-2-Calculo-I.pdf
Tema-3-Calculo-I.pdf
Tema-5-Calculo-I.pdf
Tema-4-Calculo-I.pdf
Calculo-1-COMPLETO.pdf

He publicado nuevos examenes de 1º Cálculo I: Correccion parcial 1 Calculo I 2023-2024.pdf

2 páginas
Anónimo

@Anónimo

He publicado nuevos apuntes de 1º Cálculo I: ejercicios-integrales.pdf

3 páginas
Anónimo

@Anónimo

examenes

-

EXÁMENES tipo CALCULO I

He publicado nuevos examenes de 1º Cálculo I: EXÁMENES tipo CALCULO I

1er-parcial-ejemplo.pdf
1er-parcia-ejemplo.pdf
ordinaria-ejemplo.pdf
ordinaria-ejemplo.pdf
2do-parcial-ejemplo.pdf

He publicado nuevos practicas de 1º Cálculo I: cuestionario-Tema-6.pdf

1 página

He publicado nuevos practicas de 1º Cálculo I: Cuestionario-Tema-5.pdf

1 página

He publicado nuevos practicas de 1º Cálculo I: cuestionario-Tema-4.pdf

2 páginas

He publicado nuevos practicas de 1º Cálculo I: cuestionario-Tema-3.pdf

2 páginas

He publicado nuevos practicas de 1º Cálculo I: cuestionario-Tema-2.pdf

1 página

He publicado nuevos practicas de 1º Cálculo I: Cuestionario-Tema-1.pdf

1 página
¡Estás al día!

¡Estás al día!

Has visto todos los archivos