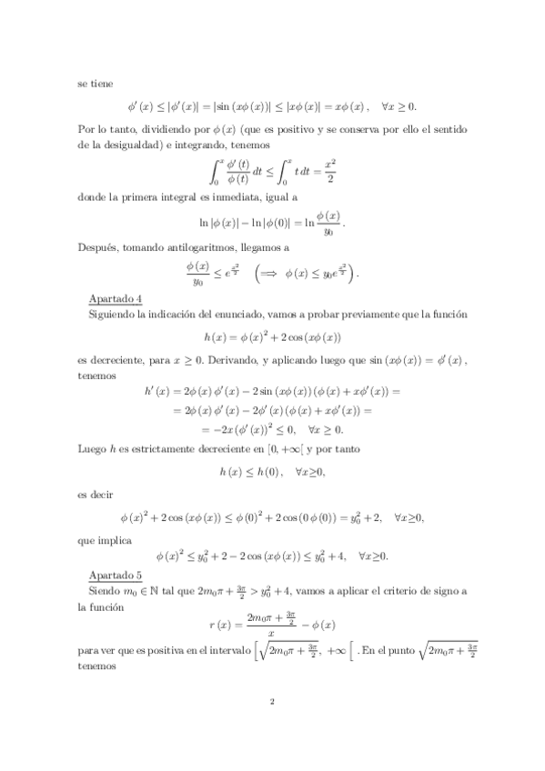
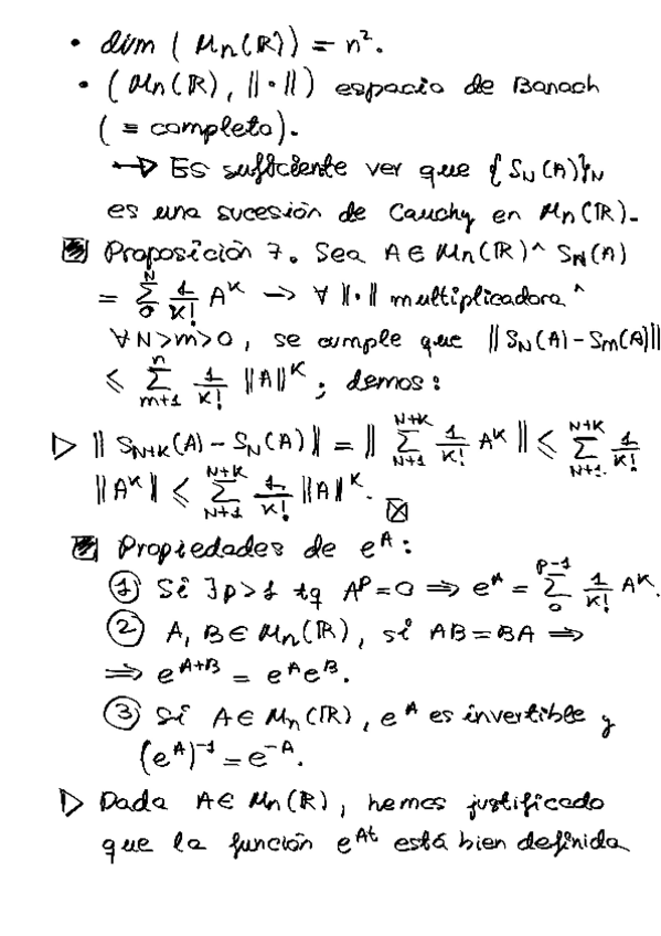
Ecuaciones Diferenciales Ordinarias

chevron_left
chevron_right
Todo
Apuntes
Ejercicios
Exámenes
Prácticas
chevron_left
chevron_right

examenes

-

Exámenes EDO

He publicado nuevos examenes de 2º Ecuaciones Diferenciales Ordinarias: Exámenes EDO

Parcial-EDO-Practica-2025.pdf
Parcial-EDO-Teoria-2026.pdf
Preguntas-Controles.pdf

apuntes

-

Cuestionarios - EDO

Algunos cuestionarios sobre las prácticas

C2-EDO.pdf
C1 - EDO 2.pdf
C1 - EDO 1.pdf
C3-EDO 1.pdf.pdf
C3-EDO 2.pdf.pdf
C4-EDO.pdf
Anónimo

@Anónimo

apuntes

-

Cuestionarios

He publicado nuevos apuntes de 2º Ecuaciones Diferenciales Ordinarias: Cuestionarios

Cuestionario-1.pdf
Cuestionario-2.pdf
Cuestionario-3.pdf
Cuestionario-4.pdf
Cuestionario-5.pdf
Cuestionario-6.pdf

practicas

-

Prácticas - EDO

Prácticas revisadas por errores de las anteriores

Practica-1-EDO.pdf
Practica-2-EDO.pdf
Practica-3-EDO.pdf
Practica-4-EDO.pdf
Practica-5-EDO.pdf
Practica-6-EDO.pdf

He publicado nuevos apuntes de 2º Ecuaciones Diferenciales Ordinarias: T3-EDO-p.pdf

35 páginas

apuntes

-

Practicas

He publicado nuevos apuntes de 2º Ecuaciones Diferenciales Ordinarias: Practicas

Practica-1.pdf
Practica-2.pdf
Practica-3.pdf
Practica-4.pdf
Practica-5.pdf

He publicado nuevos apuntes de 2º Ecuaciones Diferenciales Ordinarias: Demostraciones-EDO-temas-1-2.pdf

36 páginas

He publicado nuevos apuntes de 2º Ecuaciones Diferenciales Ordinarias: T3-SistemS-EDO.pdf

6 páginas

Tema: Corbes en el pla i EDO associades/Professor: David Zorio/ Grup: Valencià

6 páginas

Tema: EDO VS, Lineals i PC /Professor: David Zorio/ Grup: Valencià

8 páginas

Tema: Introducció/Professor: David Zorio/ Grup: Valencià

7 páginas

He publicado nuevos apuntes de 2º Ecuaciones Diferenciales Ordinarias: teoria-EDO.pdf

68 páginas

He publicado nuevos apuntes de 2º Ecuaciones Diferenciales Ordinarias: T2-Existencia-de-Soluciones.pdf

8 páginas

He publicado nuevos apuntes de 2º Ecuaciones Diferenciales Ordinarias: T1-Fundamentos-y-Metodos-Elementales.pdf

5 páginas

practicas

-

Prácticas

He publicado nuevos practicas de 2º Ecuaciones Diferenciales Ordinarias: Prácticas

Practica-12.pdf
Practica-1.pdf
Practica-2.pdf
Practica-3.pdf
Practica-4.pdf
Practica-5.pdf

apuntes

-

Resumen

He publicado nuevos apuntes de 2º Ecuaciones Diferenciales Ordinarias: Resumen

Resumen.pdf

ejercicios

-

Ejercicios de examen

He publicado nuevos ejercicios de 2º Ecuaciones Diferenciales Ordinarias: Ejercicios de examen

Ejercicios-de-examen-Tema-1.pdf
Ejercicios-de-examen-Tema-2.pdf
Ejercicios-de-examen-Tema-3.pdf
Ejercicios-de-examen-Tema-4.pdf

ejercicios

-

Ejercicios ecuaciones diferenciales

He publicado nuevos ejercicios de 2º Ecuaciones Diferenciales Ordinarias: Ejercicios ecuaciones diferenciales

Tema-1-Metodos-de-resolucion-de-edos-de-orden-1.pdf
Tema-2-Teoremas-Fundamentales.pdf
Tema-3-Ecuaciones-y-sistemas-lineales.pdf
Tema-4-Sistemas-de-edos-con-coeficientes-constantes.pdf
Tema-5-Soluciones-en-forma-de-serie-de-potencias.pdf

apuntes

-

Teoría separada por temas

Docu completo en Apuntes EDO

existencia-soluciones-tema-3.pdf
Preambulo-existencia-soluciones.pdf
Tema-3-EDO-T.pdf
Tema4.1T.pdf

apuntes

-

Apuntes EDO

En términos de hilos, no hay hilos por donde tirar

ejszucker.pdf
egdemont (completo).pdf
finedo.pdf
EXAMENES.docx

apuntes

-

Temario cuaderno por temas

Tema 4 en tablet

malthus-eulera.pdf
euler-finT3a.pdf

practicas

-

Prácticas EDO 2ª parte

He publicado nuevos practicas de 2º Ecuaciones Diferenciales Ordinarias: Prácticas EDO 2ª parte

P9-EDO-p.pdf
P10-EDO-p.pdf
P11-EDO-p.pdf
P12-EDO-p.pdf
P13-EDO-p.pdf

apuntes

-

Teoría

He publicado nuevos apuntes de 2º Ecuaciones Diferenciales Ordinarias: Teoría

Introduccion-Modelos-en-fisica.-Modelos-para-el-crecimiento-de-poblaciones.pdf
Tema-1.pdf
Tema-2.pdf
Tema-3.pdf
Tema-4.pdf
Tipos-de-ED.pdf

He publicado nuevos apuntes de 2º Ecuaciones Diferenciales Ordinarias: T4-EDO-p.pdf

24 páginas

He publicado nuevos apuntes de 2º Ecuaciones Diferenciales Ordinarias: Tema-3-EDO.pdf

22 páginas

Resumen amb pasos i exemples de com resoldre cada tipus d'EDO de 1r ordre vist a classe

10 páginas

apuntes

-

T2 EDO

He publicado nuevos apuntes de 2º Ecuaciones Diferenciales Ordinarias: T2 EDO

T2-EDO-p-color.pdf
T2-EDO-p.pdf

apuntes

-

T1 EDO

He publicado nuevos apuntes de 2º Ecuaciones Diferenciales Ordinarias: T1 EDO

T1-EDO-p-color.pdf
T1-EDO-p.pdf

He publicado nuevos apuntes de 2º Ecuaciones Diferenciales Ordinarias: parcial2024.pdf

3 páginas

He publicado nuevos apuntes de 2º Ecuaciones Diferenciales Ordinarias: practica1ejemplo.pdf

3 páginas

He publicado nuevos examenes de 2º Ecuaciones Diferenciales Ordinarias: parcial2025.pdf

3 páginas

He publicado nuevos apuntes de 2º Ecuaciones Diferenciales Ordinarias: TipusEDO.pdf

3 páginas

practicas

-

Prácticas - EDO (COMPLETAS)

He publicado nuevos practicas de 2º Ecuaciones Diferenciales Ordinarias: Prácticas - EDO (COMPLETAS)

Practica-1-EDO.pdf
Practica-2-EDO.pdf
Practica-3-EDO.pdf
Practica-4-EDO.pdf
Anónimo

@Anónimo

He publicado nuevos apuntes de 2º Ecuaciones Diferenciales Ordinarias: Ejercicios-de-lineales.pdf

8 páginas
Anónimo

@Anónimo

He publicado nuevos apuntes de 2º Ecuaciones Diferenciales Ordinarias: Lista-completa-metodos-EDO.pdf

4 páginas
Anónimo

@Anónimo

He publicado nuevos apuntes de 2º Ecuaciones Diferenciales Ordinarias: Ejercicios-ejemplos-1.pdf

4 páginas
Anónimo

@Anónimo

He publicado nuevos apuntes de 2º Ecuaciones Diferenciales Ordinarias: Ejercicios-ejemplos-2.pdf

7 páginas
Anónimo

@Anónimo

Apuntes completos segundo cuatri EDO

243 páginas

He publicado nuevos examenes de 2º Ecuaciones Diferenciales Ordinarias: Examen-EDO-segundo-cuatri.pdf

1 página

He publicado nuevos practicas de 2º Ecuaciones Diferenciales Ordinarias: Pract5-1.pdf

5 páginas

He publicado nuevos practicas de 2º Ecuaciones Diferenciales Ordinarias: Pract9-2.pdf

7 páginas

He publicado nuevos practicas de 2º Ecuaciones Diferenciales Ordinarias: Pract8.pdf

6 páginas

He publicado nuevos practicas de 2º Ecuaciones Diferenciales Ordinarias: Pract6.pdf

7 páginas

He publicado nuevos practicas de 2º Ecuaciones Diferenciales Ordinarias: Pract11.pdf

6 páginas

He publicado nuevos practicas de 2º Ecuaciones Diferenciales Ordinarias: Pract10-2.pdf

6 páginas

He publicado nuevos practicas de 2º Ecuaciones Diferenciales Ordinarias: Pract2limpio-2.pdf

11 páginas

practicas

-

Pràctiques

He publicado nuevos practicas de 2º Ecuaciones Diferenciales Ordinarias: Pràctiques

Practica-1.pdf
Practica-2.pdf
Practica-3.pdf
Practica-4.pdf
Practica-5.pdf
Practica-6.pdf

He publicado nuevos apuntes de 2º Ecuaciones Diferenciales Ordinarias: Resumet-2a-part-ED2-i-sistemes.pdf

8 páginas

He publicado nuevos apuntes de 2º Ecuaciones Diferenciales Ordinarias: Tecniques-de-resolucio.pdf

2 páginas

He publicado nuevos apuntes de 2º Ecuaciones Diferenciales Ordinarias: ResumenPract1parcial.pdf

5 páginas

He publicado nuevos apuntes de 2º Ecuaciones Diferenciales Ordinarias: Tema-4.pdf

6 páginas

He publicado nuevos apuntes de 2º Ecuaciones Diferenciales Ordinarias: Tema-3.pdf

8 páginas
Anónimo

@Anónimo

He publicado nuevos apuntes de 2º Ecuaciones Diferenciales Ordinarias: Teoria-Julio-2013.pdf

1 página
Anónimo

@Anónimo

He publicado nuevos apuntes de 2º Ecuaciones Diferenciales Ordinarias: Teoria-Julio-2012.pdf

1 página
Anónimo

@Anónimo

He publicado nuevos apuntes de 2º Ecuaciones Diferenciales Ordinarias: Sol.-Practica-Junio-2014.pdf

6 páginas
Anónimo

@Anónimo

He publicado nuevos apuntes de 2º Ecuaciones Diferenciales Ordinarias: Practica-Julio-2013.pdf

1 página
Anónimo

@Anónimo

He publicado nuevos apuntes de 2º Ecuaciones Diferenciales Ordinarias: Practica-Julio-2013-2.pdf

1 página
Anónimo

@Anónimo

He publicado nuevos apuntes de 2º Ecuaciones Diferenciales Ordinarias: exParcEDO1617.pdf

1 página
Anónimo

@Anónimo

He publicado nuevos apuntes de 2º Ecuaciones Diferenciales Ordinarias: exFinEDO1617.pdf

1 página
Anónimo

@Anónimo

He publicado nuevos apuntes de 2º Ecuaciones Diferenciales Ordinarias: Seminario-1-resuelto.pdf

4 páginas