Aeroanonymous
Problemas Economía (Todos los temas)
Problemas de Monopolios.
6 páginas
Problemas de Producción y Costes.
8 páginas
Problemas de demanda y competencia
Ejercicios 7-8 (Producción y Costes).
3 páginas
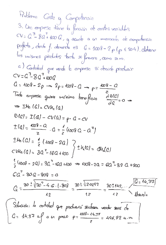
Ejercicio 3.a coste y competencia
1 página
Problemas Macroeconomía Tema 2
5 páginas
Apuntes - RESPUESTAS CODIUS 2025/2026 (es el mismo todos los años).pdf
pdf
2 páginas
624
16
Apuntes - Conceptos basicos de Economia.pdf
33 páginas
173
2
Exámenes - Examen resuelto septiembre 2016.pdf
4 páginas
266
Exámenes - Empresa-Examenes-Resueltos.pdf
66 páginas
343
Exámenes - FalsoFinal_EmpresaGITI1213_ExamenResuelto.pdf
170
0
Apuntes - Problemas.pdf
18 páginas
165
Exámenes - Ex 0ª conv 18-19 EMP G1 con soluciones (2).pdf
242
Exámenes - ADE.pdf
370
Exámenes - 1ConvOrd_EmpresaGITI1112_ExamenResuelto.pdf
282
Exámenes - Economía-Soluciones del Profesor
277
Apuntes - Empresa-Unidad-1-Economia-y-El-mercado.pdf
13 páginas
151
Exámenes - Problemas de Monopolios.
169
Exámenes - Ex oficial enero 2016 EMP resuelto.pdf
109
Exámenes - examen-economia-2020.pdf
216
1
Apuntes - Formulario-economia.pdf
137
Exámenes - examen-administracion-ejemplo.pdf
193
Apuntes - FORMULARIO pdf.pdf
94
Exámenes - Examen prueba aeronútico 20140110(1).pdf
87
Exámenes - Problemas de Producción y Costes.
176
Exámenes - Ex extraordinario enero 2016 EMP resuelto.pdf
89