Krw3u
SEMINARIOS RESUELTOS
CFFETema1SeminarioResuelto.pdf
6 páginas
CFFETema3SeminarioResuelto.pdf
4 páginas
CFFETema2SeminarioResuelto.pdf
CFFETema4SeminarioResuelto.pdf
CFFETema5SeminarioResuelto.pdf
7 páginas
Exámenes - Recopilacion-examenes-Estadistica.pdf
pdf
47 páginas
268
4
Ejercicios - CFFETema3SeminarioResuelto.pdf
204
3
Apuntes - EJERCICIOS-ESTADISTICA.pdf
59 páginas
92
0
Ejercicios - CFFETema4SeminarioResuelto.pdf
142
1
Ejercicios - CFFETema2SeminarioResuelto.pdf
150
Apuntes - APUNTES-ESTADISICA.pdf
28 páginas
97
2
Ejercicios - CFFETema1SeminarioResuelto.pdf
157
Ejercicios - CFFETema5SeminarioResuelto.pdf
103
Exámenes - Examen-parcial-1-2019-RESUELTO-Estadistica.pdf
136
Apuntes - CFFETema2Apuntes-1.pdf
80
Ejercicios - Seminario-1.pdf
8 páginas
125
Ejercicios - Seminario-Tema-2-Estadistica.pdf
24 páginas
83
Apuntes - PRACTICA-2-la-primera-que-hay-que-entregar.pdf
10 páginas
166
Ejercicios - Seminario-Tema-1-Estadistica.pdf
20 páginas
73
Ejercicios - Seminario-2.pdf
119
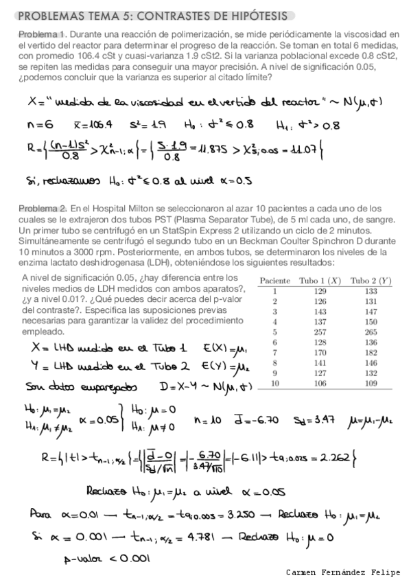
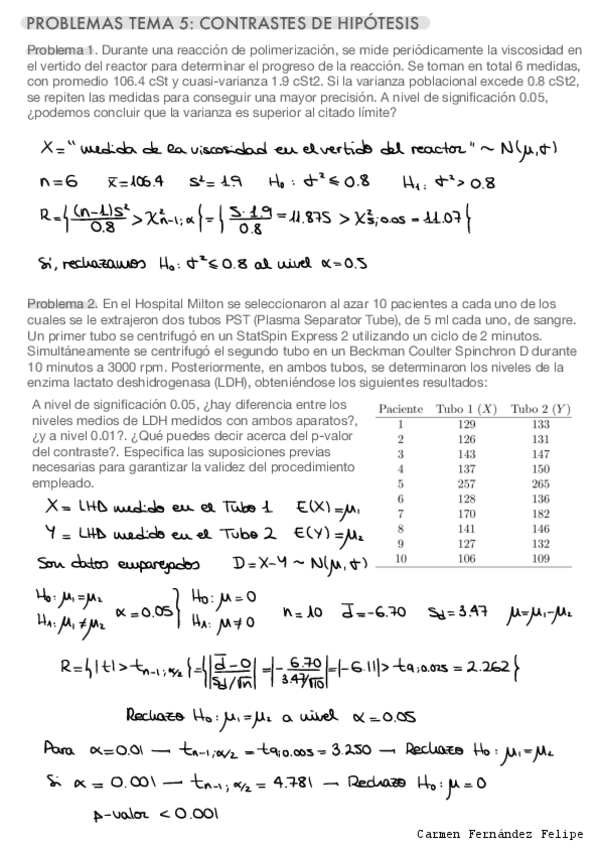
Ejercicios - EJERCICIOS-TEMA-5-Resueltos-CONTRASTE-DE-HIPOTESIS.pdf
76
Ejercicios - Ejercicios-Tema-4-resueltos-Intervalos-de-confianza.pdf
5 páginas
65
Apuntes - CFFETema3Apuntes.pdf
3 páginas
61
Ejercicios - Seminario-Tema-3-Estadistica.pdf
18 páginas
64
Ejercicios - Seminario-Tema-4-Estadistica.pdf
46