@Krw3u

Estudios: Grado en Química (UAM) ...Mostrar más

Bio: Estudio el Grado en Química en la UAM. Me encanta hacer apuntes, y cuando me quedan bonitos los subo XD.

187 Publicaciones

14.16k Interacciones

34 Seguidores

15 Siguiendo

Lista de publicaciones de Krw3u

He publicado nuevos trabajos de 3º Determinación Estructural: CFFDETEntregaRMN.pdf

3 páginas

He publicado nuevos ejercicios de 3º Ampliación de Química Inorgánica II: SEMINARIO-1.-CONCEPTOS-FUNDAMENTALES..pdf

2 páginas

apuntes

-

Apuntes temario

He publicado nuevos apuntes de 3º Química Analítica Instrumental I: Apuntes temario

QAI1T1.pdf
QAI1T2.pdf
QAI1T3.pdf
Tema-4.-Instrumentacion-para-las-medidas-opticas..pdf
Tema-5.-Tecnicas-de-absorcion-molecular-UV-vis.pdf
Tema-6.-Tecnicas-de-emision-molecular.pdf

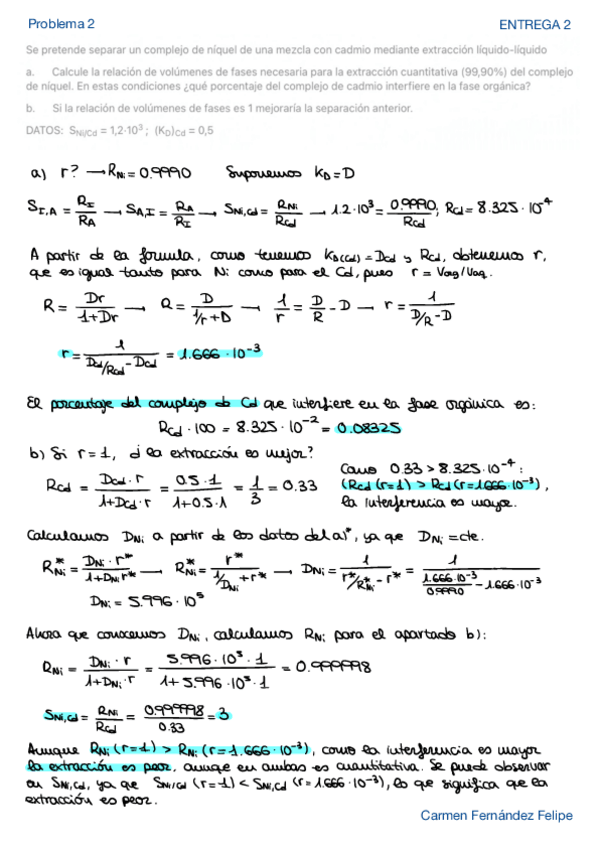
He publicado nuevos trabajos de 2º Química Analítica I: CFFQA1Entrega2.pdf

3 páginas

He publicado nuevos trabajos de 2º Química Analítica I: CFFQA1Entrega1.pdf

6 páginas

He publicado nuevos ejercicios de 4º Ciencia de Materiales: EJERCICIOS-REPASO-RESUELTOS.pdf

3 páginas

He publicado nuevos ejercicios de 4º Ciencia de Materiales: EJERCICIOS-ESTRUCTURAS-CRISTALINAS-CERAMICOS-RESUELTOS.pdf

10 páginas

He publicado nuevos ejercicios de 4º Ciencia de Materiales: EJERCICIOS-DEFECTOS-Y-DIFUSION-RESUELTOS.pdf

5 páginas

He publicado nuevos ejercicios de 4º Ciencia de Materiales: EJERCICIOS-ESTRUCTURA-INTERNA-METALES-RESUELTOS.pdf

7 páginas

apuntes

-

APUNTES

He publicado nuevos apuntes de 4º Proyectos y Procesos en la Industria Química: APUNTES

TEMA-2.-EL-PROCESO-QUIMICO-ESTRUCTURA-GENERAL-Y-COMPONENTES.pdf
TEMA-3.-DESARROLLO-DE-LA-INGENIERIA-DE-PROCESOS.pdf
TEMA-4.-GENERALIDADES-SOBRE-PROYECTOS-DE-INGENIERIA.pdf
TEMA-5.-ESTIMACION-ECONOMICA-DE-INVERSIONES-EN-INGENIERIA-QUIMICA.pdf
TEMA-6.-REGULACIONES-DE-LOS-PROCESOS-QUIMICO-INDUSTRIALES.pdf

apuntes

-

TEMARIO COMPLETO

He publicado nuevos apuntes de 4º Ciencia de Materiales: TEMARIO COMPLETO

TEMA-5.-MATERIALES-METALICOS.pdf
TEMA-6.-MATERIALES-CERAMICOS.pdf
TEMA-7.-SEMICONDUCTORES-Y-MAGNETICOS.pdf
TEMA-8.-MATERIALES-POLIMETICOS.pdf
TEMA-9.-MATERIALES-COMPUESTOS.pdf
TEMA-1.-INTRODUCCION-A-LA-CIENCIA-DE-MATERIALES.pdf

He publicado nuevos practicas de 4º Ciencia de Materiales: Entrega-informatica.pdf

3 páginas

He publicado nuevos practicas de 4º Ciencia de Materiales: INFORME-PRACTICA-POLIMEROS.pdf

4 páginas

He publicado nuevos examenes de 4º Ciencia de Materiales: CM-PREGUNTAS-FINAL-RESUELTAS.pdf

16 páginas

He publicado nuevos trabajos de 4º Ciencia de Materiales: CFFCMEntregaT8.pdf

3 páginas

He publicado nuevos ejercicios de 4º Química Sostenible: CRUCIGRAMAS-RESUELTOS.pdf

10 páginas

He publicado nuevos ejercicios de 4º Química Sostenible: SEMINARIO-TEMA-4-RESUELTO.pdf

4 páginas

He publicado nuevos ejercicios de 4º Química Sostenible: SEMINARIO-TEMA-3-RESUELTO.pdf

4 páginas

apuntes

-

TEMARIO COMPLETO

He publicado nuevos apuntes de 4º Química Sostenible: TEMARIO COMPLETO

TEMA-3.-DISOLVENTES-ALTERNATIVOS-CON-BAJA-TOXICIDAD.pdf
TEMA-4.-TECNOLOGIAS-INNOVADORAS.pdf
TEMA-5.-ENERGIAS-ALTERNATIVAS-LIMPIAS.pdf
TEMA-2.-CATALISIS-Y-QUIMICA-VERDE.pdf
TEMA-1.-PRINCIPIOS-Y-CONCEPTOS-DE-LA-QUIMICA-SOSTENIBLE.pdf

He publicado nuevos trabajos de 4º Química Forense: CFFENTREGAAnalisis-de-tintas.pdf

2 páginas