BOLETIN-8-GASES-CUANTICOS-IDEALES.pdf

joesru_08

BOLETINES FE CUANTICA (CURSO 2022-23)

7 archivos·

BOLETINES FE CUANTICA (CURSO 2022-23)

BOLETIN-7-FUNDAMENTOS-DE-FISICA-ESTADISTICA-CUANTICA.pdf

6 páginas

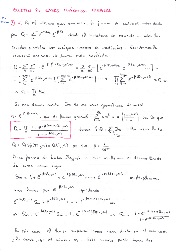
BOLETIN-8-GASES-CUANTICOS-IDEALES.pdf

11 páginas

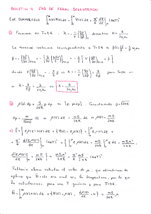
BOLETIN-9-GAS-DE-FERMI-DEGENERADO.pdf

7 páginas

BOLETIN-10-GAS-DE-BOSE-DEGENERADO.pdf

5 páginas

BOLETIN-11-SIN-TERMINAR.pdf

4 páginas

BOLETINES-FISICA-ESTADISTICA-CUANTICA-B7-B11.pdf

40 páginas

Entregable-Estadistica-Cuantica-Jose-Estepa-Ruiz.pdf

6 páginas

content_copy

Archivos recomendados