Anónimo
APUNTES RESUMEN FISICA
Tema-13-oscilaciones.pdf
2 páginas
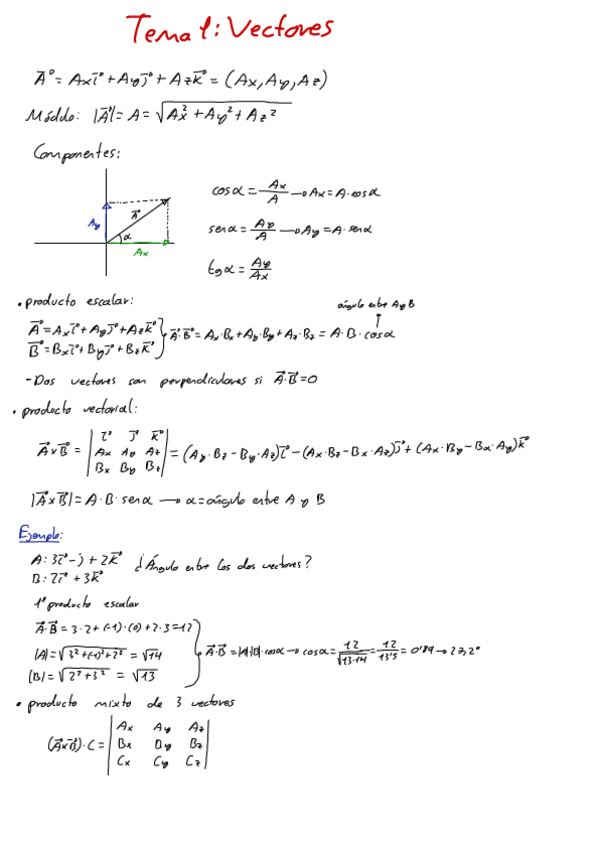
Tema-1-vectores.pdf
apuntes-de-todos-los-temas.pdf
17 páginas
Tema-9y10-movimiento-circular.pdf
4 páginas
Tema-2al8-cinematica-y-dinamica.pdf
Tema-15-sonido.pdf
1 página
Tema-14-ondas.pdf
Tema-12-elasticidad.pdf
Tema-11-estatica.pdf
Exámenes - EXAMEN-SEPTIEMBRE-2020.pdf
pdf
35
0
Ejercicios - Tema9rjercicios.pdf
9 páginas
Prácticas - Practica-3-Fisica-Ajuste.xlsx
xlsx
20
Apuntes - Formulario-Fisica.pdf
42
Apuntes - apuntes-de-todos-los-temas.pdf
27
2
Ejercicios - Tema5.pdf
11 páginas
Ejercicios - Tema2.pdf
7 páginas
23
Apuntes - Tema-1-vectores.pdf
47
Ejercicios - Tema1.pdf
Prácticas - Practica-7-Fisica-ajustes.xlsx
17
Apuntes - Teoria-de-errores.pdf
6 páginas
18
Apuntes - T.2-CINEMATICA.pdf
20 páginas
1
Exámenes - Examen-Ordinario-2026.jpeg
jpeg
21
Ejercicios - Tema11ejercicios.pdf
Ejercicios - Tema10ejercicios.pdf
12 páginas
Ejercicios - Tema13ejercicios.pdf
10 páginas
Exámenes - Examen-7-teoria-de-errores.pdf
24
Ejercicios - Tema3.pdf
8 páginas
19
Ejercicios - Tema7.pdf
Prácticas - Practica-3-Fisica-memoria-y-calculos.pdf
5 páginas
26