Tema-1-vectores.pdf

Anónimo

APUNTES RESUMEN FISICA

9 archivos·

Tema-13-oscilaciones.pdf

2 páginas

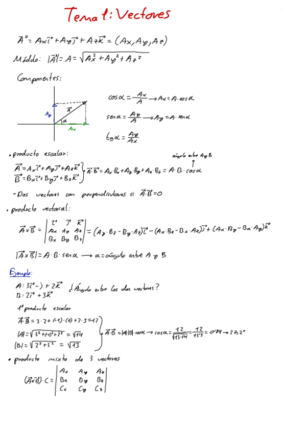
Tema-1-vectores.pdf

2 páginas

apuntes-de-todos-los-temas.pdf

17 páginas

Tema-9y10-movimiento-circular.pdf

4 páginas

Tema-2al8-cinematica-y-dinamica.pdf

4 páginas

Tema-15-sonido.pdf

1 página

Tema-14-ondas.pdf

2 páginas

Tema-12-elasticidad.pdf

1 página

Tema-11-estatica.pdf

1 página

content_copy

Archivos recomendados