diGITAlizada
Problemas RESUELTOS
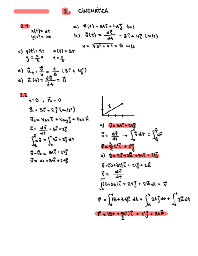
Cinemática [hoja 2] soluciones
7 páginas
Dinámica [hoja 3] soluciones
4 páginas
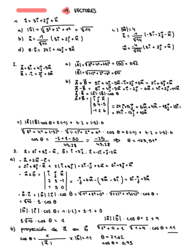
Vectores [hoja 1] soluciones
3 páginas
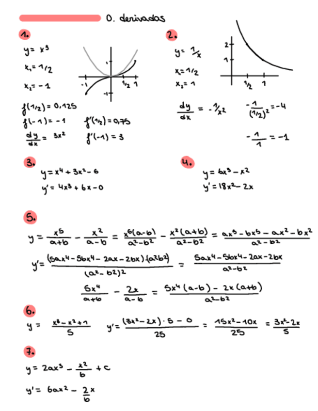
derivadas.pdf
1 página
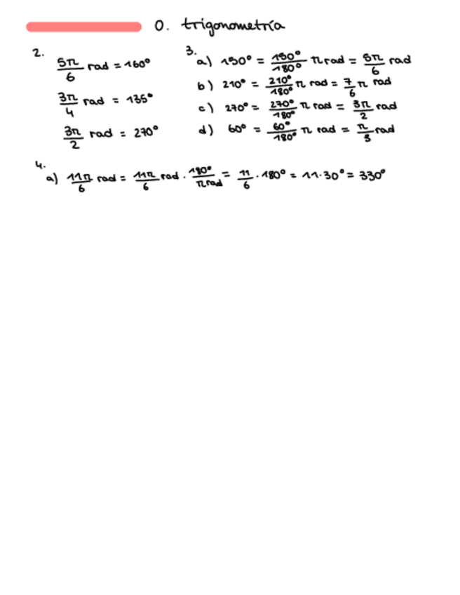
trigo.pdf
sistemas-de-particulas.pdf
Ejercicios - ejercicios-parcial-2-fisica-I.pdf
pdf
30 páginas
74
3
Ejercicios - Ejercicios-de-fisica-resuelto-2018-2020.pdf
16 páginas
217
1
Exámenes - examen-enero-2023-corregido- física I.pdf
105
8
Ejercicios - Hoja4Resueltos.pdf
10 páginas
76
0
Exámenes - Problemas resueltos examen Julio 2023.pdf
6 páginas
88
4
Ejercicios - Cinemática [hoja 2] soluciones
146
2
Exámenes - Enero2024Sol-1.pdf
5 páginas
68
Apuntes - Tema-4.pdf
102
Exámenes - 1er-parcial-solucion.pdf
Exámenes - Examenes-enero.pdf
15 páginas
5
Apuntes - FISICA-I.pdf
90 páginas
97
6
Ejercicios - ejercicios-parcial-1.pdf
46
Exámenes - Junio-sol.pdf
64
Exámenes - FISICA-I-ORD22.pdf
73
Ejercicios - Ejercicios-cinematica-resueltos.pdf
63
Apuntes - Tema-3.pdf
Apuntes - chuletario.pdf
2 páginas
107
Exámenes - FISICA-I-EXTRA21.pdf
Exámenes - 2do-parcial-solucion-1.pdf
Apuntes - Tema-2.pdf