Soto_2004
Examen Física 2 resuelto
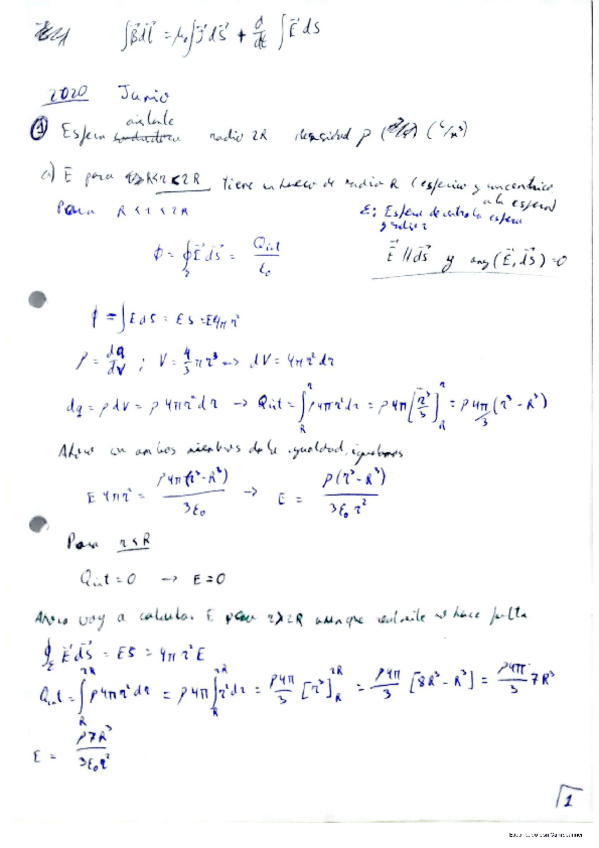
F2ExJUNIO2020.pdf
8 páginas
Ejercicios - boletin-2.pdf
pdf
22 páginas
166
2
Ejercicios - boletin-3.pdf
20 páginas
140
4
Ejercicios - boletin-4.pdf
158
1
Ejercicios - boletin-1.pdf
12 páginas
180
Apuntes - Boletines-de-Problemas.rar
rar
54
0
Ejercicios - boletin-5.pdf
13 páginas
68
Apuntes - Examenes.rar
26
Apuntes - Fisica-2-Modelo-Examen.pdf
6 páginas
41
Apuntes - Actividades-Dirigidas.rar
24
Ejercicios - Tema-3.pdf
11 páginas
42
Exámenes - Examen-fisica-junio-2017-resuelto.pdf
55
Exámenes - examen-2021.pdf
9 páginas
63
Exámenes - F2ExJUNIO2020.pdf
Ejercicios - Tema-1.pdf
50
Ejercicios - Tema-2.pdf
7 páginas
38
Exámenes - examen-2020.pdf
10 páginas
49
Exámenes - Formulario.pdf
2 páginas
29
Ejercicios - Tema-4.pdf
3 páginas
35
Apuntes - Examenes-2011-2018-resueltos.pdf
59 páginas
Apuntes - resumen-completo.pdf
34 páginas
21