@Soto_2004

18 Publicaciones

115 Interacciones

2 Seguidores

5 Siguiendo

Lista de publicaciones de Soto_2004

practicas

-

CAD 24-25

He publicado nuevos practicas de 1º Expresión Gráfica: CAD 24-25

Miniatura no disponible
CAD11.dwg
Miniatura no disponible
CAD12.dwg
Miniatura no disponible
CAD13.dwg
Miniatura no disponible
CAD1.dwg
Miniatura no disponible
CAD2.dwg
Miniatura no disponible
CAD3.dwg

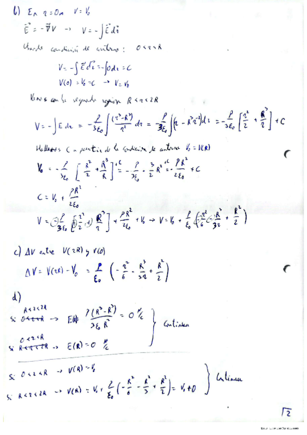
Resolución del examen primera convocatoria de Junio de 2025

7 páginas

electrónica teoría de circuitos y dispositivos electrónicos 10ed L.boylestad

913 páginas

Boletín de ejercicios sin resolver

17 páginas

Todo los temas de apuntes de Física II

72 páginas

Examen Física 2 resuelto

8 páginas